07:54:33 EDT Wed 01 Apr 2026
Enter Symbol
or Name
USA
CA



Login ID:
Password:
Save
AURA MINERALS INC. J
Symbol ORA
Shares Issued 82,629,872
Close 2025-09-25 C$ 45.97
Market Cap C$ 3,798,495,216
Recent Sedar+ Documents

ORIGINAL: Aura Reports Updated Mineral Reserves and Mineral Resources For The Year-Ended 2025, Highlighting year of Significant Growth in Mineral Reserve and Resource Portfolio

2026-04-01 06:05 ET - News Release

ROAD TOWN, British Virgin Islands, April 01, 2026 (GLOBE NEWSWIRE) -- Aura Minerals Inc. (NASDAQ: AUGO) (B3: AURA33) (“Aura” or the “Company”) is pleased to report updated Mineral Reserves and Mineral Resources (“MRMR”) for its six operating mines: Aranzazu Mine, Apoena Mines, Minosa Mine, Almas Mine, Borborema Mine and MSG Mine, as well as its development projects including Era Dorada and Matupá. Between 2024 and 2025, Aura updated its MRMR models to reflect new data. Updates were driven by exploration drilling, revised geological interpretations, changes in mining methods, extraction plans, and economic parameters, including commodity prices that impacted cut-off grades and reserve classification, as well as M&A activities. The Company is also pleased to report that it has filed its annual report on Form 20-F for the fiscal year ended December 31, 2025 (the “2025 Annual Report”) with the Securities and Exchange Commission (the “SEC”). The 2025 Annual Report can be accessed by visiting either the SEC’s website at www.sec.gov or the Regulatory Filings section of the Company’s investor relations website at https://www.auraminerals.com/en/investors/. Aura`s 2025 Annual Report included new S-K 1300 technical report summaries for Borborema, Almas, Matupá and Mineração Serra Grande as exhibits.

Rodrigo Barbosa, President and CEO of Aura commented, “2025 marked another year of disciplined execution and significant portfolio acceleration for Aura. We invested US$21.8 million in exploration, drilling over 106,500 meters while maintaining one of the industry’s lowest discovery costs. The results have truly exceeded expectations. Our P&P reserves grew substantially from 3.4 million to 7.22 million GEO, driven not only by the successful acquisition of the MSG Project and new reserves at Era Dorada, but also by strong organic growth. This includes the robust update at Borborema, where we achieved meaningful reserve additions through higher gold prices, pit expansion and improved geological models — independent of the road relocation — as well as the successful addition of underground reserves at Almas’ Paiol deposit. This growth significantly strengthens our production foundation for years to come. M&I resources increased 26% to approximately 3.49 million GEO, while Inferred Resources more than tripled (+200%), reaching 3.92 million GEO — boosted by the inclusion of MSG along with positive conversions and expansions at Borborema and Almas.

In all, we continue to walk the talk on our strategy: (i) production growth: in 2025 we produced 280k GEO and we expect to achieve over 600k GEO in the upcoming years; (ii) Resources and Reserves growth: we have increased to 7.2 million GEO, (iii) additional growth and daily traded volume: in 2025 we closed two acquisitions (MSG and Era Dorada) while we increased our ADTV from US$2 million in early 2025 to over US$90 million during the first three months of 2026. We are building a stronger, more diversified, and longer-life portfolio that positions Aura for sustainable growth and superior returns in the years ahead”.

Highlights:

  • In 2025, Aura executed 106,941m of drilling with a total exploration spend, inclusive of capex, of US$21.8 million, maintaining a low global discovery cost. The Company’s strategy balanced near-term mine life extension with a strong focus on long-term growth, advancing greenfield and brownfield targets while leveraging strategic M&A to expand its future resource base.

  • Consolidated Proven & Probable (“P&P”) Mineral Reserves were significantly increased and totaled 7,223k GEO, primarily driven by: (i) the inclusion of the MSG Project in Aura’s MRMR portfolio after acquisition; (ii) Borborema Mineral Reserve update, due to the approval for the road relocation, and (iii) increase in P&P due to results of exploration works performed in 2025, price cut-off increase and review of models, particularly at Borborema. Also, the P&P increased due to the addition of Mineral Reserves at Era Dorada.

    • Metal price assumptions used for estimating Mineral Reserves were updated to reflect a significantly higher pricing environment while maintaining a conservative outlook: gold at US$2,600/oz (up from US$2,000), copper at US$4.40/lb (up from US$4.20), and silver at US$35.00/oz (up from US$25.00).

Figure

  • Exclusive Measured & Indicated (M&I)- Mineral Resources decreased 52% to 3,173k GEO, driven mainly by conversion to Mineral Reserve in Borborema and Era Dorada and conversion of M&I Mineral Resources at depth in Paiol to Mineral Reserves (2P).

 Figure 2

  • Inferred Mineral Resources increased by more than 200% to 3,917k GEO, primarily driven by inclusion of the MSG Project; Borborema Mineral Reserve update and incorporation of Almas underground Mineral Reserve.

Figure 3

Strong Ongoing Exploration Growth Trajectory:

Pé Quente and Pezão (Matupá Project): In 2024, Aura acquired the exploration rights over the Pé Quente Project, located in the State of Mato Grosso, Brazil, near the Matupá Project. Following positive exploration results, Aura exercised the purchase option in 2025, definitively acquiring the project for a total consideration of US$4.5 million, payable in installments between 2025 and 2028.Exploration activities in 2025 focused on detailed infill and extension drilling, with 57 drill holes totaling 9,978.16 m completed. The program confirmed the continuity of gold mineralization, expanded the mineralized footprint, and improved geological confidence across key zones. As a result of drilling campaigns conducted in 2024 and 2025, Pé Quente hosts approximately 287 koz Au of Indicated and Inferred Mineral Resources, representing a material addition to the Matupá Project’s resource base. Aura has to filed a new S-K 1300 technical report summary with respect to the Matupá Gold Project, including an initial assessment of Pé Quente, as an exhibit to our 2025 Annual Report.

Almas Mine (Paiol Deposit): https://api.mziq.com/mzfilemanager/v2/d/7e088be0-b725-4cba-ab5e-4969a4ac92af/0f718b0a-6c06-6d6d-6ef9-7a8ce1dea720?origin=1In 2025, Aura advanced an intensive infill drilling program at the Paiol Underground, completing 32 diamond drill holes totaling 11,435.40 m, complemented by 8 directional drill holes totaling 3,109.80 m. The drilling confirmed the continuity of high‑grade underground mineralization below the current open pit, supporting the development of a scalable underground operation. Key intercepts include 60.25 m @ 0.97 g/t Au (PAI‑021‑D1B) and 50.90 m @ 0.89 g/t Au (PAI‑020‑D2), defining broad mineralized envelopes suitable for bulk underground mining. These intervals host higher‑grade internal zones, such as 4.50 m @ 5.37 g/t Au and 3.15 m @ 4.85 g/t Au, confirming the presence of high‑grade shoots within the broader system. The infill program resulted in the addition of underground Mineral Resources and Mineral Reserves, and the mineralized bodies remain open at depth, with additional drilling planned for 2026. Beyond Paiol UG, Aura views the Almas district as a high‑potential gold camp and continues, in parallel, to advance earlier‑stage regional targets within the broader Almas area. These targets represent future optionality, with the potential to contribute additional Mineral Resources to the MRMR over the coming years. Aura has filed a new S-K 1300 technical report summary with respect to Almas as an exhibit to our 2025 Annual Report.

Carajás: During 2023 and 2024, Aura completed over 21,000 m of drilling, confirming continuous mineralization along a 7 km strike, delineating three key zones (Trend S, Trend SW, Trend N – Regional). The results highlight the target’s strong potential. Assay results indicate copper grades ranging from 0.2% Cu to 0.5% Cu over thicknesses of approximately 50 m, mainly associated with disseminated sulphides in hydrothermally altered rocks. Within these broader zones, higher‑grade copper intervals (>0.5% Cu) with typical thicknesses of 15 to 20 m, as well as semi‑massive sulphide zones exceeding 1.0% Cu with average thicknesses of approximately 5 m (not true width), were identified. In 2025, Aura continued exploration activities to further evaluate the potential of the target, completing an additional 11,000 m of drilling aimed at improving geological understanding and data reliability. Exploration activities remain ongoing, and complementary geophysical surveys are planned for 2026 to refine target definition and support future exploration planning. The Company continues to view the project as a prospective copper system with potential for advancement through successive stages of evaluation.

Aranzazu, Mexico

Infill and deep drilling conducted between 2018 and 2025 in the Glory Hole (GH) zone successfully extended known mineralization and, in 2025, completed the conversion of the final level of the GHFW (Glory Hole Footwall) into the Mineral Resource and Reserve inventory. While lateral continuity within the GH zone is limited, the system remains open at depth with economic grades and mineable thicknesses (GHHW). Following the completion of the GHFW conversion, exploration efforts from 2026 onward will focus on the conversion of the GHHW (Glory Hole Hangingwall) and on new mineralized zones, including Esperança, where drilling in 2025 returned promising copper and gold results.

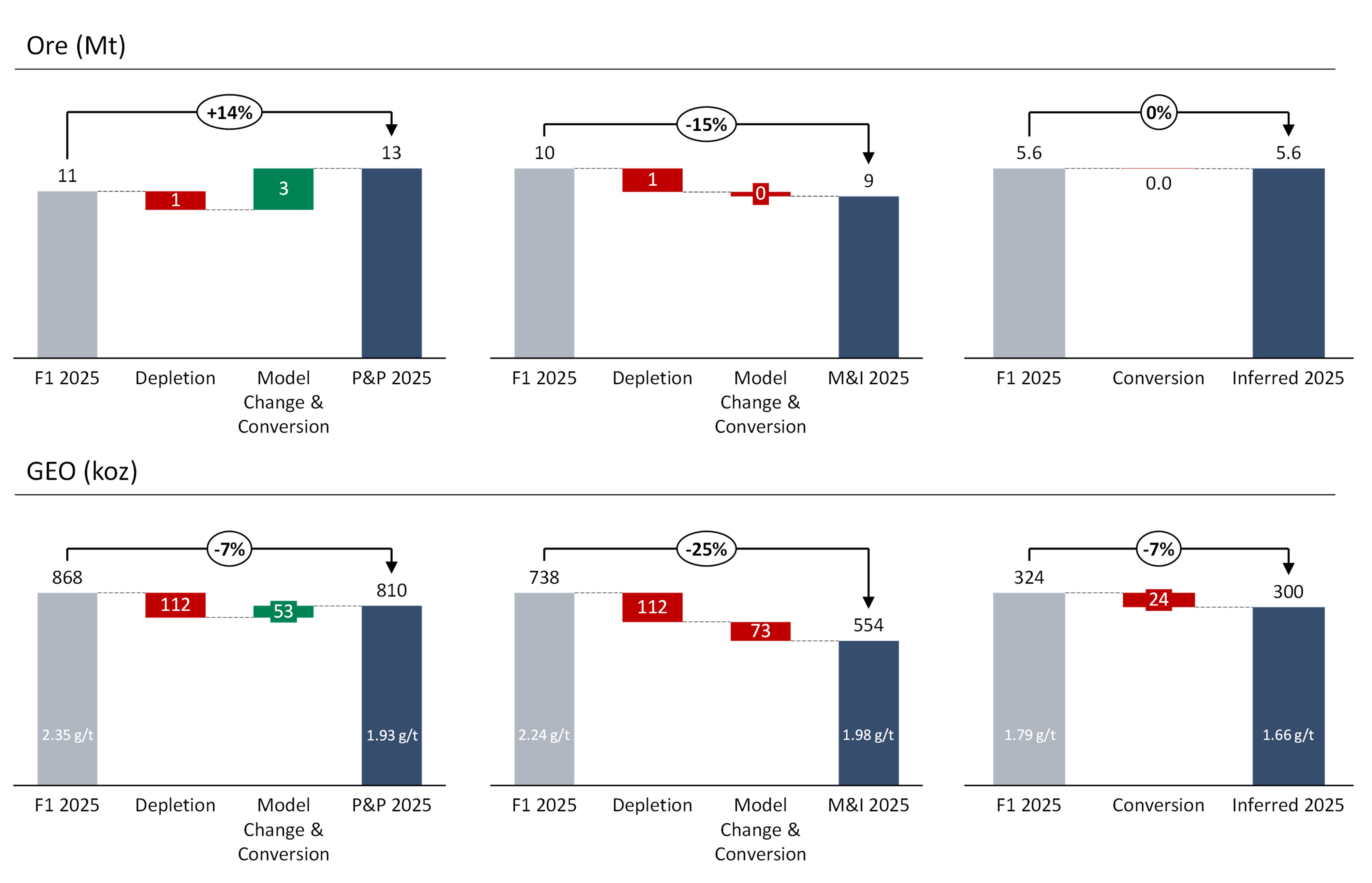
P&P Mineral Reserves increased by increased by 1.59 Mt (+14%), while metal content decreased by 57,077 GEO (-7%) and NSR declined by 9%, reflecting updates to the resource model. After depletion, total tonnes increased by 18%. A change in NSR cut-off compared to 2024 (+10%) was due to the update of the actual operating costs reviewed during the 2025 period; however, this compensated by a 10% increase in the NSR factors, driven by improved metal prices and recoveries aligned with the reserve grades. 

M&I Mineral Resources decreased by 10% after depletion due to excluding areas that were no longer accessible in the mine and changing in prices and NSR formula.

Inferred Mineral Resources decreased by 7% in metal content, mainly due to conversion to M&I.
The Qualified Person for all changes since the date of last S-K 1300 technical report summary for this mine is Farshid Ghazanfari, P.Geo., Geology and Mineral Resources Manager for the Company.

The charts below show changes in P&P Mineral Reserves, M&I Mineral Resources (Exclusive) and Inferred Mineral Resources for the Aranzazu Mine as of December 31, 2025, compared to July 7, 2025

Figure 4

Apoena, Brazil

The 2025 exploration campaign at Apoena was focused on the Nosde–Lavrinha corridor, with emphasis on the Lower Trap zone, which hosts the same style of mineralization historically mined at the Ernesto Mine. During the year, Aura completed approximately 11 km of drilling, targeting this zone to better assess its geological continuity and mineral potential. Partial results from the drilling program indicate the occurrence of mineralization within the Lower Trap, supporting the interpretation of a continuous mineralized system between Nosde and Lavrinha. Complete assay results are expected in Q1 2026, when Aura will be able to conduct a more comprehensive evaluation of the potential of this zone and define next exploration steps.

P&P Mineral Reserves decreased by 6% in metal content, despite higher gold prices, primarily due to depletion.

M&I Mineral Resources increased slightly by 33% in tonnes and 11% in metal content (after depletion) due to higher gold prices and lower cut-off. The grade decreased by 6%.

Notably, Inferred Mineral Resources increased by 10% in metal content, mainly at Nosde-Lavrinha and Ernesto Connection, supported by infill and exploration drilling.

The Qualified Person for all changes since the date of last S-K 1300 technical report summary for this mine is Farshid Ghazanfari, P.Geo., Geology and Mineral Resources Manager for the Company..

The charts below show changes in P&P Mineral Reserves Estimates, M&I Mineral Resources (Exclusive) Estimates and Inferred Mineral Resources Estimates for Apoena as of December 31, 2025, compared to July 7, 2025

Figure 5

Minosa (San Andres), Honduras

Proven and Probable (P&P) Mineral Reserves increased by 5% in tonnes and decreased by 8% in gold content as result of depletion from production in 2025 and change of model. Contributing factors also included, a larger and deeper designed pit due to change of gold price and a lower cut-off grade.

M&I Mineral Resources decreased by 9% due to conversion to Mineral Reserve and Inferred Resources decreased by 10% due to conversion M&I Mineral Reosurces. The Qualified Person for all changes since the date of last S-K 1300 technical report summary for this mine is Farshid Ghazanfari, P.Geo., Geology and Mineral Resources Manager for the Company.

The charts below show changes in P&P Mineral Reserves Estimates, M&I Mineral Resources (Exclusive) Estimates and Inferred Mineral Resources Estimates for Minosa as of December 31, 2025 compared to July 7, 2025

Figure 6

For more details on the exploration results, mineral resources and mineral reserves of the above mines, refer to “Item 4. Information on the Company—D. Property, Plants and Equipment—Mining Properties” in our 2025 Annual Report and the technical report summaries included as exhibits thereto.

Almas, Brazil

Late 2024 and early 2025, Aura commenced a deep drilling program( directional drilling) aiming to establish mineral resources and reserve the open pit below in the Paiol mine for an underground operation. Due to changing mining methods, Aura hired SLR consultants to update the technical report with the inclusion of underground mining operations and updated metal prices.

The updated technical report integrated open pit and underground life of mine (LOM) plan in Paiol after a successful drilling campaign. The LOM increased to 12 years with transition between mining areas which is supported by sequencing, geotechnical design parameters, and operational considerations.

The Almas Operation consists of three open pit mines (Paiol, Vira Saia, Cata Funda), and one underground mine (Paiol) currently under development. At present, the Paiol open pit is the sole ore source. Underground development at Paiol began in 2025, with initial underground production planned for 2028. Mining at the Vira Saia open pit is planned for 2027, followed by Cata Funda in 2030. Existing heap‑leach reserves and low‑grade stockpiles are also incorporated into the LOM plan.

Open pit operations will use conventional truck‑and‑shovel mining with 4.5 cubic metre (m³) excavators, front‑end loaders, and 70‑t haul trucks. The final pit designs were based on optimization studies, supporting a planned run-of-min (ROM) production rate of 3.0 Mtpa and approximately 141 Mt of waste over an eight‑year open pit mining period.

The underground mine will be developed primarily using transverse sublevel stoping, with localized longitudinal stopes. Primary stopes will be filled with cemented rockfill, and secondary stopes with rockfill.

Ore feed will transition from the Paiol open pit to a combination of Vira Saia, Cata Funda, and underground production, before shifting entirely to stockpiles from 2033 to 2037, resulting in a 12‑year processing period.

Across all deposits, the operation will mine 29.5 Mt of ore at 0.86 g/t Au, supplemented by 4.3 Mt of stockpiled ore averaging 0.55 g/t Au. Processing throughput will begin at 2 Mtpa in 2026, increasing to 3 Mtpa from 2027 onward.

By December 31, 2025, Proven and Probable Mineral Reserves (open pit) are estimated to total 24,723 thousand tonnes (kt), averaging 0.80 g/t Au and containing 634 kt Au and Probable Mineral Reserves (Paiol Underground) are estimated to total 4,817 kt, averaging 1.16 g/t Au and containing 180 thousand ounces (koz) Au.

By December 31, 2025, Proven Mineral Reserves (Stockpile) are estimated to total 4,338 kt, averaging 0.55 g/t Au and containing 77 thousand ounces (koz) Au.

Proven and Probable (P&P) Mineral Reserves increased 70% in tonnes (after depletion); despite a 19% grade reduction from lower cut-off, metal content rose 32% driven by open pit and UG integration (Paiol UG Mineral Reserves: 4.82 Mt @ 1.16 g/t Au, totaling 180 Koz).

By December 31, 2025, Open pit Measured and Indicated (M&I) Mineral Resources(exclusive) are estimated to total 4,323 thousand tonnes (kt) averaging 0.47 g/t Au and containing 65 kt Au and underground Indicated Mineral Resources are estimated to total 2,227 kt averaging 0.88 g/t Au and containing 63 koz Au.

M&I Mineral Resources decreased by 46% in tonnes and 54% by metal content (after depletion), due to the conversion to UG mineral reserves in Paiol, in Cata Funda and Vira Saia, and the change of models.By December 31, 2025, open pit Inferred Mineral Resources are estimated to total 3,071 kt averaging 0.76 g/t Au and containing 75 koz Au and underground Inferred Mineral Resources are estimated to total 3,744 kt averaging 0.67 g/t Au and containing 81 koz Au.

Similarly, Inferred Mineral Resources increased 93%, partially converted to M&I at Paiol and Cata Funda. At Paiol, Inferred Resources increased by 37% in metal content, driven by deeper drilling and the inclusion of UG resources not reported in 2024. At Vira Saia, Inferred Resources increased by more than 100%, supported by higher gold prices, lower cut-off, and a larger pit shell.

For more information, refer to the S-K 1300 technical report summary filed as an exhibit to our 2025 Annual Report.

The charts below show changes in P&P Mineral Reserves Estimates, M&I Mineral Resources (Exclusive) Estimates and Inferred Mineral Resources Estimates for Almas as of December 31, 2025, compared to July 7, 2025

Figure 7

Borborema, Brazil

An updated Feasibility Study completed in March 2026, using a higher gold price and considering the relocation of the highway, outlined an anticipated average annual gold production of 57 koz, with an estimated LOM of 35 years. The technical report summary was filed as an exhibit to our 2025 Annual Report.

The paved highway (BR 226) to the south and the high voltage transmission line (HVTL) to the north—previously identified in the prior Technical Report (F-1 filing) as limiting infrastructure—no longer impose constraints on the pit design (see Aura press release February 26, 2026)

Aura owns the surface rights in the constrained pit area, which considers the current road design, and previous infrastructures, including the processing plant, which hasn’t changed in this report. Aura has already started the operation considering the constrained pit.

The Life of Mine (LOM) schedule extends for approximately thirty-five years and four months. Key scheduling parameters include a nominal plant throughput of 2.0 Mt per year and adherence to Aura’s existing mine plan during the initial two years of operation. The processing facility is limited to a maximum of 10% oxidized material in the feed blend. A low‑grade stockpiling strategy is incorporated to increase the head grade during the early phases of the operation.

Mineral Reserves are defined within detailed engineered pit designs and life-of-mine (LOM) plans that are based on optimized pit shells. Mineral Reserves within these engineered pit designs were calculated using cut-off grades (COG) specific to each rock type, considering a gold price of US$ 2,600/oz with an exchange rate of R$ 5.5/US$ 1.0. Mineral Reserves include 3.2 Mt of stockpiled material. Mineral Reserves that have an effective date of December 31st, 2025, are estimated to be 70.6 Mt at 0.88 g/t Au grade.

Proven and Probable (P&P) Mineral Reserves increased significant in tonnes and metal content, with +170% in metal content vs. 2024, driven by highway relocation, gold price cutoff increase and expansion of the Mineral Reserve pit.

M&I Mineral Resources increased by 40% in tonnes and 16% in metal content (before depletion), supported by higher metal prices and lower cut-off grade.

Inferred Resources increased by 79% in metal content, driven by a larger pit shell and lower cut-off grade

The charts below show changes in P&P Mineral Reserves Estimates, M&I Mineral Resources (Exclusive) Estimates and Inferred Mineral Resources Estimates for Borborema as of December 31, 2025, compared to July 7, 2025

Figure 8

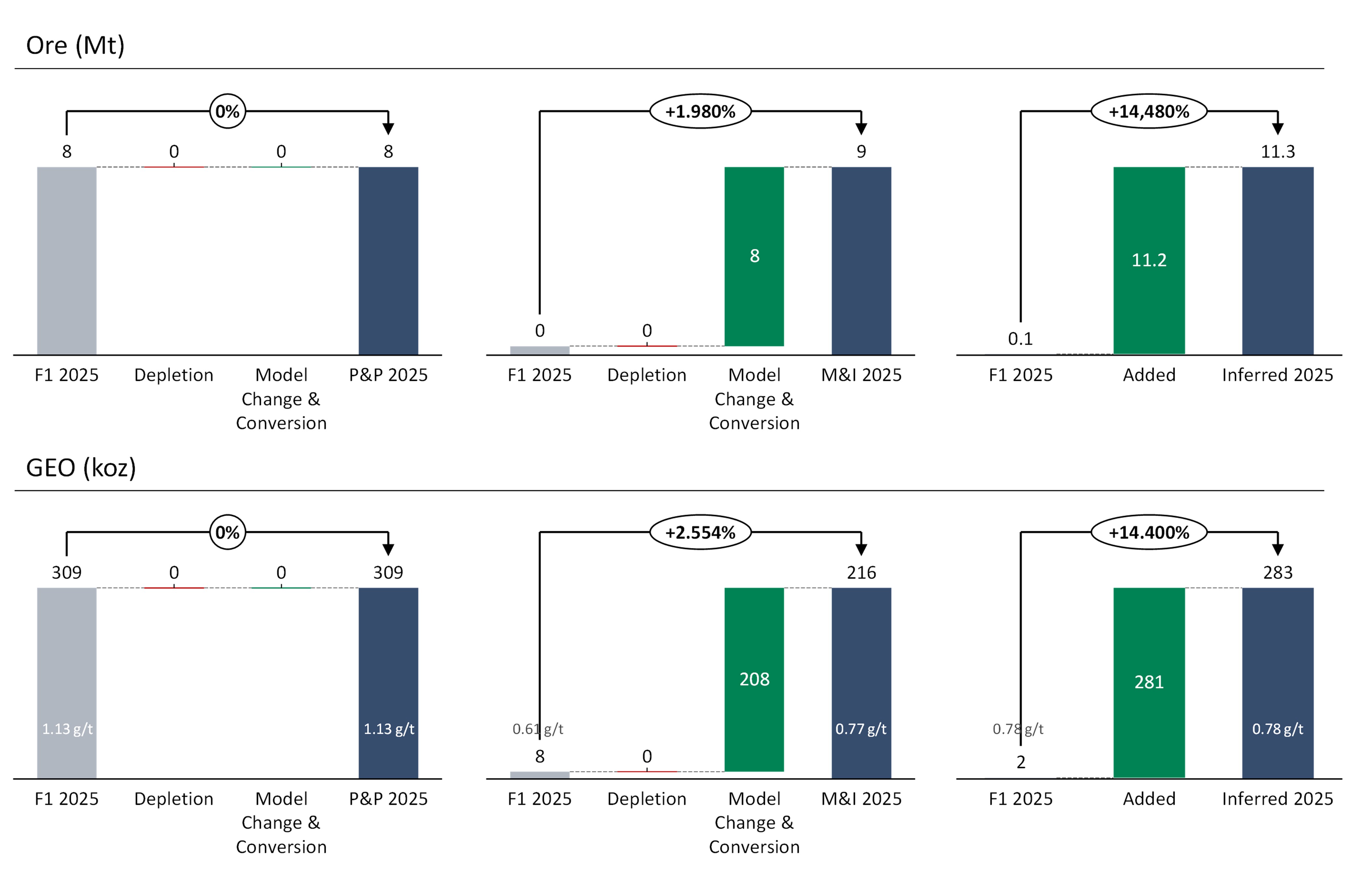
Era Dorada, Brazil

A new Feasibility Study completed in December 2025 by Ausenco outlined anticipated production of 1600 tonnes per day(t/d) The planned Life of Mine (LoM) extends for approximately 17 years (Average production of approximately 111koz GEO for the first 4 years)., with higher metal output scheduled in the early years through prioritized access to higher-grade areas. (see Aura’s press release December 8, 2025 for more details). The technical report summary was incorporated by reference as an exhibit to our 2025 Annual Report.

Era Dorada has Proven and Probable Mineral Reserves of 1.7 million ounces gold, assuming 8.75 million tonnes at 6.01 grams per tonne gold.

Proven and Probable (P&P) Mineral Reserves kept stable when compared with the F1 2025 report. Although comparing with 2024, the new underground (UG) Mineral Reserve totaling 1.8 Moz Au was established for the Era Dorada Project, supported by a Feasibility Study completed released in December 2025, using a long-term gold price of US$2,000/oz.

Era Dorada has Exclusive Indicated Mineral Resources of 503 Koz gold, assuming 2.46 million tonnes at 6.36 grams per tonne gold.

M&I Mineral Resources Increased by 7% in metal content, driven by a higher gold price assumption (US$2,500/oz) applied in the Feasibility Study.

Inferred Resources increased by 21% in metal content, also reflecting the higher gold price (US$2,500/oz) compared to the initial Assessment report in 2025 (F1 Report).

The charts below show changes in P&P Mineral Reserves Estimates, M&I Mineral Resources (Exclusive) Estimates and Inferred Mineral Resources Estimates for Era Dorada as of December 31, 2025, compared to July 7, 2025

Figure 9

Matupá, Brazil

Since the completion of the Feasibility Study in 2022, Aura has continued to advance regional exploration at Matupá, with the goal of identifying and developing satellite deposits to support long-term growth. Exploration and extension drilling programs have been a key focus, targeting numerous gold occurrences and anomalies within a 50km radius of the X1 deposit.The exploration efforts and drilling first were focused on Serrinhas target within Aura’s concession. Later, Aura acquired the Pe Quente project, drilled significant intercepts and validate historical results during 2024 and 2025. The results of Pe Quente and Serrinhas drilling established Mineral Resource inventories for these two deposits and lead to an amendment to the existing Matupa Technical Report which released in March 2026 and was filed as an exhibit to our 2025 Annual Report.

At the Pé Quente the total drilling database includes 163 core holes and 39 air-core holes drilled between 2010 and the effective date of the technical report. The current core drilling database comprises 29,806.70 m.

At the Serrinhas target, drilling campaigns totalize approximately 45,348 m, distributed across 228 holes, including 212 DDH and 16 RC holes, drilled between 1996 and 2024. Pé Quente target has Indicated Mineral Resources of 124 Koz gold, assuming 5.68 million tonnes at 0.68 grams per tonne gold and Inferred Mineral Resources of 163 Koz gold, assuming 6.62 million tonnes at 0.77 grams per tonne gold.

Serrinhas target has Indicated Mineral Resources of 84 Koz gold, assuming 2.60 million tonnes at 1.01 grams per tonne gold and Inferred Mineral Resources of 118 Koz gold, assuming 4.61 million tonnes at 0.79 grams per tonne gold

Matupa Project Proven and Probable (P&P) Mineral Reserves kept stable when compared to the previous report as there was no mineral reserve established for Serrinhas and Pé Quente.

Matupa Project M&I Mineral Resources increased 89%, due to the inclusion of Serrinhas and Pé Quente.

No drilling was conducted in X1 in 2025. The inferred resources are limited at depth due to faulting, and further drilling will not increase them.

The charts below show changes in P&P Mineral Reserves Estimates, M&I Mineral Resources Estimates and Inferred Mineral Resources Estimates for Matupá as of December 31, 2025, compared to December 31, 2024.

Figure 10

The complete 2025 MRMR estimates for all tonnage, metal grades, and metal content are shown below in the following tables:

Table 1: Proven & Probable Mineral Reserve Estimates

Proven & Probable Mineral Reserve Estimates (as of December 31, 2025)

 Gold
  ProvenProbableProven & Probable
PropertyDepositTonnes (Kt)‎Au (g/t)‎Au (oz)‎Tonnes (Kt)‎Au (g/t)‎Au (oz)‎Tonnes ‎‎(Kt)‎Au (g/t)‎Au (oz)‎
Almas(23)-(32)        Paiol (open pit)14,2070.74338,0003,3200.7580,00017,5270.74418,000
Almas(23)-(32)        Paiol (UG)4,8171.16180,0004,8171.16180,000
Almas(23)-(32)        Cata Funda1,3031.2452,0008061.1429,0002,1091.1981,000
Almas(23)-(32)        Vira Saia1,5220.9949,0003,5650.7586,0005,0870.83135,000
Almas(23)-(32)        Heap Leach & Low Grade Stockpile4,3380.5577,0004,3380.5577,000
Aranzazu(13)-(22)        Aranzazu6,9920.66149,1906,0600.5097,21013,0520.59246,400
Minosa(6)-(12)        San Andres16,1490.37188,00015,8890.41209,00032,0380.39397,000
Apoena(33)-(40)        Nosde-Lavrinha2,2440.7453,7306,1191.23241,3208,3631.10295,050
Apoena(33)-(40)        Ernesto2211.228,6402211.228,640
Apoena(33)-(40)        Ernesto-Lavrinha Connection1,1550.8431,1401,1550.8431,140
Apoena(33)-(40)        Pau-A-Pique
Apoena(33)-(40)        Japonês2680.726,180120.953602800.736,540
Apoena(33)-(40)        Stockpile1,5840.4120,6201,5840.4120,620
Matupa(41)-(47)        X1         
Borborema(48)-(53)        Borborema3,2000.7173,00067,3000.881,915,00070,6000.881,988,000
Era Dorada(54)-(58)        Era Dorada305.3558,7176.011,684,0008,7476.011,689,000
MSG (Open pit)(59)-(63)         3901.3617,1101,0601.1840,4701,4601.2357,580
MSG (UG)(59)-(63)         2,0202.41156,1708,4601.98539,02010,4802.06695,190
Total         56,4620.731,324,480132,1861.245,290,280188,7591.096,614,660


 Copper
  ProvenProbableProven & Probable
PropertyDepositTonnes (Kt)‎Cu (%)‎Cu (lb*
1000.)‎
Tonnes (Kt)‎Cu (%)‎Cu (lb.*
1000)‎
Tonnes ‎‎(Kt)‎Cu (%)‎Cu (lb.*
1000)‎
Aranzazu(13)-(22)        Aranzazu6,9920.98151,3426,0600.95126,81213,0520.97278,154
Total         6,9920.98151,3426,0600.95126,81213,0520.97278,154


 Silver
  ProvenProbableProven & Probable
PropertyDepositTonnes (Kt)‎Ag (g/t)‎Ag (Koz)‎Tonnes (Kt)‎Ag (g/t)‎Ag (Koz)‎Tonnes (Kt)‎Ag (g/t)‎Ag (Koz)‎
Aranzazu(13)-(22)        Aranzazu6,99215.833,5596,06017.513,41213,05216.616,971
Era Dorada(54)-(58)        Era Dorada3022.59228,71720.395,7158,74720.405,736
Total         7,02215.863,58114,77719.219,12721,79918.1312,707

Notes:

(1)   S-K 1300 definitions were used to estimate Mineral Resources.

(2)   Mineral Reserves are the economic portion of Measured and Indicated Mineral Resources. Mineral Reserve estimates include mining dilution and mining recovery. Mining dilution and recovery factors vary with specific reserve sources and are influenced by several factors including deposit type, deposit shape and mining methods.

(3)   The estimate of Mineral Reserves may be materially affected by environmental, permitting, legal, marketing or other relevant issues.

(4)   The Mineral Reserve estimate is reported on a 100% ownership basis.

(5)   Contained metal figures may not add due to rounding.

(6)   The Mineral Reserve estimate for the Minosa Mine was prepared under the supervision of Farshid Ghazanfari, P.Geo. as a Qualified Person as defined by S-K 1300.

(7)    The effective date of SanAndres (Minosa) Mineral Reserve is December 31, 2025.

(8)   Mineral Reserves are reported from the final pit design and estimated in situ using an average long-term gold price of US$2,600 per ounce.

(9)   Mineral Reserves are reported as Run-of-Mine (ROM) material, reflecting ore delivered directly to the processing facility prior to crushing or beneficiation, after applying dilution (5%), mining recovery (95%) and operational adjustments incorporated into the final pit design. These adjustments include considerations for minimum mining widths, ramp placements and geotechnical constraints to ensure practical mineability.

(10)   The bulk density of ore is variable and applied in the geological block model; it averages 2.38t/m³.

(11)   Mineral Reserves are estimated at a cut-off grade of 0.170 g/t Au Oxide and 0.265 g/t Au Mixed. Metallurgical recovery is 70% for oxide material and 45% for mixed material.

(12)   Surface topography as of December 31, 2025, and 200m river offset restrictions have been imposed, in San Andres.

(13)   The effective date of the Aranzazu Mineral Reserve is December 31, 2025.

(14)   The Mineral Reserve estimate for the Aranzazu Mine was prepared under the supervision of Farshid Ghazanfari, P.Geo. as a Qualified Person as defined by S-K 1300.

(15)   Mineral Reserves are reported on an in-situ basis after applying dilution and mining recovery.

(16)   Mineral Reserves are estimated at an NSR cut-off value of US$73.18/tonne.

(17)   Mineral Reserves are estimated using an average long-term price of US$2,600/oz Au, US$4.40/lb. Cu and US$35.00/oz Ag.

(18)   Metallurgical recoveries of 90.3% Cu, 78.5% Au and 59.0% Ag, and a US$/MXN exchange rate of 1:19.

(19)   The NSR formula is as follows: NSR = 78.228 x Cu (%) + 57.612 x Au (g/t) + 0.534 x Ag (g/t).

(20)   A minimum mining width of 2.0 m was used.

(21)   Bulk density is estimated and has an average value of 3.08 t/m3.

(22)   Metallurgical recoveries reported as average over the life of mine.

(23)   The effective date of the Almas Mineral Reserve is December 31, 2025.

(24)   Mineral Reserves are reported on an in-situ basis after applying dilution and mining recovery.

(25)   Mineral Reserves are 100% attributable to Aura.

(26)   Bulk density is 2.75 t/m3 for Paiol, 2.64 t/m3 for Vira Saia and 2.75 t/m3 for Cata Funda.

(27)   Mineral Reserves are reported on an in-situ basis after applying dilution and mining recovery.

(28)   Open Pits Mineral Reserves are estimated using a cut-off grade of 0.26 g/t Au for Paiol, 0.29 g/t Au for Vira Saia and 0.20 g/t Au for Cata Funda.

(29)   Underground Mineral Reserves are estimated at a cut-off grade of 0.51 g/t Au for Transverse Sublevel Stoping and 0.41 g/t Au for Longitudinal Sublevel Stoping. Refer to Section 12.3.3 for additional details. Metallurgical recoveries applied are 91.8% for high‑grade and medium‑grade ore and 85.2% for low‑grade ore in the open‑pit deposits. For the underground area, the applied metallurgical recovery is 85.2%.

(30)   Metallurgical recoveries applied are 91.8% for high‑grade and medium‑grade ore and 85.2% for low‑grade ore in the open‑pit deposits. For the underground area, the applied metallurgical recovery is 85.2%.

(31)   Mineral Reserves are estimated using an average long-term price of $2,600/oz Au.

(32)   Surface topography based on December 31, 2025 in Almas.

(33)   The Mineral Reserve estimate for the Apoena Mines was prepared under the supervision of Farshid Ghazanfari, P.Geo. as a Qualified Person as defined by S-K 1300, qualified to execute the EPP Technical Report under S-K 1300. Mr. Farshid Ghazanfari is the Geology and Mineral Resources Manager for the Company.

(34)   The effective date of the Apoena mines Mineral Reserve is December 31, 2025. The effective date of Mineral Resources and Mineral Reserve in the technical report for Apoena mines is October 31, 2023. Since then, we had additional exploration drilling and also mining activities in the Apoena mines. The changes since the effective date of the technical report are not material.

(35)   The Mineral Reserve estimate is reported on a 100% ownership basis.

(36)   Mineral Reserves are reported on an in-situ basis after applying dilution and mining recovery.

(37)   Nosde-Lavrinha Mineral Reserves are confined within an optimized pit shell that uses the following parameters: gold price 2,600 US$, exchange rate of 5.50 Brazilian Real: US$1.00; total process cost: US$13.76/t; mining costs: US$2.67/t, general and administrative costs: US$3.57/t; sustaining costs: US$0.82/t processed; metallurgical recovery of 93.5%; mining recovery 95% for meta arenite and 98% for schist, mining dilution of 20%; overall slope angle 38°.

(38)   Ernesto Mineral Reserves are estimated using pit designs which have been optimized using only Indicated Resources at $2,600/oz. gold price. Mineral Reserves were estimated at a cut-off grade of 0.35 g/t Au and applying 10% dilution factor with 98% mining recovery.

(39)   Japonês and Ernesto-Lavrinha Connection Mineral Reserves are estimated designed pit using only Measured and Indicated resources, which has been optimized using US$2,600/oz. gold price. Mineral Reserves were estimated at cut-off grade of 0.35 g/t Au and applying 10% dilution factor and 98% mining recovery.

(40)   Surface topography based on December 31, 2025 in Apoena Mines.

(41)   Mineral Reserve estimates for the Matupá (X1) Gold Project was prepared under the supervision of Luiz Pignatari, P.Eng. as a Qualified Person as defined by S-K 1300, qualified to execute the Matupá Technical Report under S-K 1300.

(42)   The effective date of the Matupa (X1) Mineral Reserve is August 31, 2022.

(43)   The Mineral Reserve estimate is reported on a 100% ownership basis.

(44)   Mineral Reserves are reported on an in-situ basis after applying dilution and mining recovery.

(45)   The Mineral Reserve Estimate is based on an updated optimized shell using US$1,500/oz gold price, average dilution of 3%, mining recovery of 100% and break-even cut-off grades of 0.35 g/t Au for X1 pit.

(46)   The metallurgical recovery is estimated to be 93.2% for gold ascertained from the Consolidations tests.

(47)   Surface topography as of July 31, 2021, in Matupá.

(48)   The Qualified Person for the Borborema Reserve Estimate is Bruno Yoshida Tomaselli, B.Sc., FAusIMM, an employee of Deswik.

(49)   The effective date of the Borborema Mineral Reserve is July 1, 2026.

(50)   The Mineral Reserve estimate is reported on a 100% ownership basis.

(51)   Mineral Reserves are reported on an in-situ basis after applying dilution and mining recovery.

(52)   Mineral Reserves are confined within an optimized pit shell that uses the following parameters: gold price US$2,600/oz; refining costs US$138.49; mining costs US$2.310/t weathered material, US$3.10/t waste fresh rock, US$3.10/t ore fresh rock; processing costs US$13.28/t processed; general and administrative costs US$2.8 M/a; sustaining costs US$0.92/t processed; process recovery of 92.1%; mining dilution of 5%; ore recovery of 95%; and pit inter-ramp angles that range from 45 – 64.5°.

(53)   Surface topography as of July 31, 2025, in Borborema.

(54)   Era Dorada Mineral Reserve has an effective date of December 5, 2025. The Qualified Person for the estimate is Ruy Lacourt, BSc. Mining Engineering, MSc., Registered Member of the SME, an Associate of Snowden Optiro.

(55)   The Mineral Reserve was estimated using metal prices of US$2,000/oz Au and US$25/oz Ag, and metallurgical recoveries of 96% Au and 85% Ag. Underground mining costs were assumed as US$100/t (Long Hole mining) and US$115/t (Cut-and-Fill mining), with processing, site services and G&A costs of US$32/t, US$18/t and US$20/t, respectively. Royalties comprise 1.05% NSR to the previous owners plus a 1.0% gross government royalty. Cut-off grades in gold equivalent are 2.82 g/t Au eq for underground Long Hole mining and 3.07 g/t Au eq for Cut-and-fill.

(56)   The formula for gold equivalent is Au eq = Au grade + 0.011 * Ag grade.

(57)   The existing surface stockpile (29,726 t, dry basis, at 5.35 g/t Au and 22.59 g/t Ag) was evaluated using the same economic parameters as the underground Mineral Reserve and is classified as Proven Mineral Reserve.

(58)   Tonnages and grades have been rounded in accordance with reporting guidelines. Tonnages are rounded to the nearest 1,000 t, metal grades are rounded to two decimal places. Tonnage and grade are in metric units, containing gold and silver are reported as thousands of troy ounces. Totals may not sum due to rounding.

(59)   Serra Grande Mineral Reserve has an effective date of November 30, 2025. The Qualified Person for the estimate is GE21 consulting (Brazil) Ltd. as defined by S-K 1300 definition.

(60)   The base case cut-off grade (CoG) for the estimate of Mineral Resources is 0.41 g/t Au for open pit and 1.85 g/t Au for underground.

(61)   Open Pit Mineral Reserves are confined within an optimized pit shell that uses the following geometric and economic parameters: Mine Recovery of 95% and dilution 10%, Gold price US$ 2600/oz, Exchange rate of R$ 5.15: US$ 1, Mining costs of US$ 2.82/t for mineralization and waste, Sustaining operating cost of US$ 0.57/t ore mined, Processing cost of US$ 23.98 /t of ore feed, Sustaining processing cost of US$ 0.75 /t of ore feed, General and administrative cost of 3.65 /t of ore feed, Selling cost of US$ 47.90/ oz, CEFEM and Royalties 2.25% of gross revenue, Metallurgical recovery of 95%, Overall slope angle 30° to 68°, Overall strip ratio: 12.85 (ton per ton),

(62)   A minimum mining width of 1.80 m was used for sublevel stope mining method and 4.0 m for room and pillars mining method.

(63)   Surface Topography as of November 30, 2025.

Table 2: Measured and Indicated Mineral Resource Estimates

Measured and Indicated Exclusive Mineral Resource Estimates (as of December 31, 2025)

 Gold
  MeasuredIndicatedMeasured & Indicated
PropertyDepositTonnes (Kt)‎Au (g/t)‎Au (oz)‎Tonnes (Kt)‎Au (g/t)‎Au (oz)‎Tonnes ‎‎(Kt)‎Au (g/t)‎Au (oz)‎
Almas(24)-(30)        Paiol (Open Pit)1,6230.3116,0001,1670.4718,0002,7900.3834,000
Almas(24)-(30)        Paiol (UG)2,2270.8863,0002,2270.8863,000
Almas(24)-(30)        Cata ‎Funda990.341,0002630.726,0003620.617,000
Almas(24)-(30)        Vira Saia760.561,0001,0950.6322,0001,1710.6324,000
Aranzazu(15)-(23)        Aranzazu5,2170.79132,1303,5080.4348,6708,7250.64180,800
Minosa(6)-(14)        San Andres1,8780.2716,43025,3130.36294,00027,1900.36310,670
Apoena(37)-(46)        Nosde-‎Lavrinha6260.367,2802,6080.9680,1603,2340.8487,440
Apoena(37)-(46)        Ernesto361.201,400361.201,400
Apoena(37)-(46)        Ernesto ‎Connection2400.453,4802400.453,480
Apoena(37)-(46)        Pau-A-‎Pique‎242‎‎3.19‎‎24,850‎‎602‎‎2.71‎‎52,450‎‎844‎‎2.95‎‎77,300‎
Apoena(37)-(46)        Japonês2000.452,870130.622602130.463,130
Matupa(47)-(53)        X1‎‎74‎‎0.61‎‎1,440‎‎344‎‎0.61‎‎6,700‎‎418‎‎0.61‎‎8,160‎
Matupa(54)-(59)        Serrinhas2,6001.0183,9502.601.0183,950
Matupa(54)-(59)        Pe Quente5,6800.68123,9605.680.68123,960
Borborema(31)-(36)        Borborema14,1000.37168,90014,1000.37168,900
Era Dorada(60)-(67)        Era Dorada2,4606.36503,0002,4606.36503,000
MSG (Open pit) (68)-(74)         5301.6828,9005,3201.21207,4005,8601.25236,250
MSG (UG)(68)-(74)         1,6204.80250,7804,7703.99611,7506,4004.19862,530
Total         12,1851.23482,68071,3460.992,295,03084,5501.022,778,970


 Copper
  MeasuredIndicatedMeasured & Indicated
PropertyDepositTonnes (Kt)‎Cu (%)‎Cu (lb.*1000)‎Tonnes (Kt)‎Cu (%)‎Cu (lb.*1000)‎Tonnes ‎‎(Kt)‎Cu (%)‎Cu (lb.*1000)‎
Aranzazu(15)-(23)        Aranzazu5,2171.10126,3403,5080.7658,9388,7250.96185,278
Total         5,2171.10126,3403,5080.7658,9388,7250.96185,278


 Silver
  MeasuredIndicatedMeasured & Indicated
PropertyDepositTonnes (Kt)‎Ag (g/t)‎Ag (Koz)‎Tonnes (Kt)‎Ag (g/t)‎Ag (Koz)‎Tonnes ‎‎(Kt)‎Ag (g/t)‎Ag (Koz)‎
Aranzazu(15)-(23)        Aranzazu5,21717.402,9123,50814.001,5838,72516.004,495
Matupa(47)-(53)        X1742.6963443.39384183.2744
Era Dorada(60)-(67)        Era Dorada2,46022.761,8012,46022.761,801
Total         5,29117.152,9186,31216.863,42211,60317.006,340

Notes:

(1)   S-K 1300 definitions were used to estimate Mineral Resources.

(2)   The Mineral Resource estimate is reported on a 100% ownership basis.

(3)   Mineral Resources are exclusive to Mineral Reserves. Mineral Resources that are not Mineral Reserves do not have demonstrated economic viability.

(4)   The estimate of Mineral Resources may be materially affected by environmental, permitting, legal, marketing or other relevant issues.

(5)   Contained metal figures may not add due to rounding.

(6)   The Mineral Resource estimate for the Minosa Mine was prepared under the supervision of Farshid Ghazanfari, P.Geo. as a Qualified Person as defined by S-K 1300.

(7)   The effective date of Mineral Resources for San Andres (Minosa) mine is December 31, 2025.

(8)   Mineral Resources are contained within a pit shell and are estimated in situ.

(9)   Mining dilution, mining losses or process losses were not applied in estimating Mineral Resources.

(10)   Mineral Resources are estimated at a cut-off grade of 0.142 g/t Au Oxide and 0.221 g/t Au Mixed. Metallurgical recovery is 70% for oxide material and 45% for mixed material.

(11)   Mineral Resources are estimated using a long-term gold price of US$3,100 per ounce.

(12)   A minimum mining width of 6 m was used. The Mineral Resources are also constrained by a 50 m exclusion zone along the Agua Caliente River.

(13)   Bulk density is estimated by lithology and averages 2.38 g/cm3.

(14)   Surface topography as of December 31, 2024, and a 200m river offset restrictions have been imposed in San Andres.

(15)   The Mineral Resource estimate for the Aranzazu Mine was prepared under the supervision of Farshid Ghazanfari, P.Geo. as a Qualified Person as defined by S-K 1300.

(16)   The effective date of Mineral Resources for Aranzazu mine is December 31, 2025.

(17)   Mineral Resources are reported on an in-situ basis without applying mining dilution, mining losses or process losses.

(18)   Mineral Resources are estimated at an NSR cut-off value of $50/t.

(19)   Mineral Resources are estimated using long-term price of US$2,600 per ounce of gold, US$4.40 per pound of copper, US$35 per ounce of silver and a US$/MXN exchange rate of 1:19.

(20)   Metallurgical recoveries are 90.3% for Cu, 78.5% for Au and 59.0% for Ag. The figures only consider material classified as sulphide mineralization for Aranzazu.

(21)   The NSR formula is as follows: NSR = 78.228 x Cu (%) + 57.612 x Au (g/t) + 0.534 x Ag (g/t).

(22)   A minimum mining width of 2.0 m was used.

(23)   Estimated bulk density ranges between 2.03 t/m3 and 5.51 t/m3.

(24)   The Qualified Person for Almas mine is SLR Consulting (Canada) Ltd.

(25)   The effective date of Mineral Resources for Almas mine is December 31, 2025.

(26)   Mineral Resources are reported from optimized pit shells and are estimated in situ.

(27)   Mineral Resources are estimated at a cut-off grade of 0.22 g/t Au for Paiol, 0.25 g/t Au for Cata Funda and 0.24 g/t Au for Vira Saia.

(28)   Mineral Resources are estimated using a long-term gold price of US$3,100 per ounce.

(29)   A minimum mining width of 2 m was considered for Underground Resources.

(30)   Bulk density is 2.75 t/m3 for Paiol, 2.75 t/m3 for Cata Funda and 2.64 t/m3 for Vira Saia. Metallurgical recovery is 92.5% for high-grade (Au≥0.90 g/t) material, 92.5% for medium-grade (0.70≤Au<0.89 g/t) and 86% for low-grade (0.34≤Au<0.69 g/t).

(31)   The Qualified Person for Borborema Mineral Resources is Erik Ronald, P. Geo (PGO #3050), Principal Consultant with SRK Consulting (U.S.), Inc. based in Denver, USA.

(32)   The effective date of Mineral Resources for Borborema mine is December 31, 2025.

(33)   Mineral Resources have been categorized as subject to the opinion of a Qualified Person based on the quality of informing data for the estimate, consistency of geological/grade distribution and data quality, and have been validated using visual and statistical analyses.

(34)   The economic CoG for Mineral Resources is 0.20 g/t Au based on the long-term outlook sale price of US$3,100/troy ounce of gold, 92.1% recovery, average mining costs of US$3.10/t, processing costs of US$13.28/t, G&A of US$2.8 and sustaining capital costs of US$0.92/t.

(35)   Variable pit slope angles between 45 and 64.5 degrees, 0% mining dilution and 100% mining recovery have been used for mineral resources.

(36)   Mineral Resources were reported above the economic 0.20 g/t Au CoG and are constrained by an optimized resource pit shell with all material categorized as mineral reserves excluded from the resource calculation. The quantity of Indicated mineral resources listed above represents the Indicated mineral resources located outside the mineral reserve pit shell. The quantity of Inferred mineral resources represent Inferred located within the reserve pit shell and the resource pit shell. Inferred mineral resources are not considered to be of sufficient confidence for the application of reserve modifying factor.

(37)   The Mineral Resource estimate for the Apoena Mines was prepared under the supervision of Farshid Ghazanfari, P.Geo. as a Qualified Person as defined by S-K 1300.

(38)   The effective date of Mineral Resources for Apoena mine is December 31, 2025. The effective date of Mineral Resources and Mineral Reserve in the technical report for Apoena mines is October 31, 2023. The changes since the effective date of the technical report are not material.

(39)   Mineral Resources are reported from optimized pit shells for open pit mines and are estimated in situ.

(40)   Mineral Resources are estimated based on a long-term gold price of US$3,100 per ounce for Nosde-Lavrinha and Ernesto and Ernesto-Connection open pit mines.

(41)   Mineral Resources are estimated based on a long-term gold price of US$3,100 per ounce for Japonês and Ernesto-Lavrinha Connection open pit mines.

(42)   Mineral Resources are estimated using a long-term gold price of US$1,750 per ounce for Pau-a-pique underground mine.

(43)   The Mineral Resource is based on a cut-off grade of 1.34g/t Au and minimum width of 2m in Pau-A-Pique mine (EPP).

(44)   Mineral Resources are estimated insitu from the 410m EL to the 65m EL, or from approximately 30m depth to 500m depth from surface in Pau-A-Pique mine (EPP).

(45)   Surface topography was based on December 31, 2025 in EPP Mine except Pau-A-Pique mine.

(46)   Density models based on rock types were used for volume to tonnes conversion with resources averaging 2.83 tonnes/m3 in Nosde-Lavrinhas mines for schist and 2.71 tonnes/m3 for meta-arenite and 2.77 tonnes/m3 in Pau-A-Pique mine, 2.65 tonnes/m3 in Ernesto mine and 2.76 tonnes/m3 in Japonês mine.

(47)   The Qualified Person for Matupa project (X1) is Farshid Ghazanfari, P.Geo., Aura’s Mineral Resource and Geology Manager.

(48)   The effective date of Mineral Resources for Matupa (X1) project is August 31, 2022 and is 100% attributable to Aura.

(49)   Mineral Resources of X1 deposit are reported from optimized pit shells for open pit mines and are estimated in situ.

(50)   The Measured and Indicated in situ Mineral Resources of X1 deposit are contained within a limiting pit shell (using a gold price of US$1,800 per ounce) in Matupá.

(51)   The base case cut-off grade for the estimate of Mineral Resources is 0.35 g/t Au in Matupá (X1).

(52)   The metallurgical recovery is estimated to be 93.2% for gold ascertained from metallurgical tests.

(53)   Surface topography used in the models was surveyed July 31, 2021.

(54)   The Qualified Person for Serrinhas and Pe Quente is GE21 consulting (Brazil) Ltd.

(55)   Mineral Resources of Serrinhas and Pe Quente are constrained within an open pit shell generated using Reasonable Prospects of Economic Extraction (RPEE) parameters and are restricted to the limits of the current mining tenements.

(56)   The open pit optimization was completed using Whittle software with a revenue factor of 1.0 using the following assumptions: Gold price of US$3,100 per ounce; Overall slope angles of 36° in saprolite and 52° in fresh rock; Mining costs of US$2.49 per tonne mined (ore) and US$2.28 per tonne mined (waste); Processing cost of US$13.32 per tonne of ROM; Sustaining capital of US$0.75 per tonne of ROM; General and administrative cost of US$4.42 per tonne of ROM; Transportation cost of US$5.07 per tonne of ROM; CFEM and royalties totaling 3% of gross revenue; Mining recovery of 100% and dilution of 0%. Selling cost 106.13 US$/oz.

(57)   Mineral Resources are reported at a cut-off grade of 0.25 g/t Au for Serrinhas and 0.266 for Pe Quente.

(58)   Grades are reported using dry bulk density and tonnages are reported as dry metric tonnes.

(59)   Surface topography used in the Serrinhas and Pe Quente models was surveyed August 31, 2025.

(60)   Era Dorada project mineral resource estimates have been prepared by Garth Kirkham, a Qualified Person as defined by S-K 1300.

(61)   Effective date of the Mineral Resource Estimate is November 30, 2025.

(62)   Mineral resources are classified as Indicated, and Inferred based on geological confidence and continuity, spacing of drill holes and data quality.

(63)   Underground mineral resources are reported at a cut-off grade of 2.25 g Au/t. Cut-off grades are based on assumed metal prices of US$2,500/oz gold and US$28/oz silver, and assumed metallurgical recovery, mining, processing and G&A costs.

(64)   Mineral Resources are reported without applying mining dilution, mining losses or process losses.

(65)   Resources are constrained within underground shapes based on reasonable prospects of economic extraction, in accordance with S-K 1300. Reasonable prospects for economic extraction were met by applying mining shapes with a minimum mining width of 2.0 m, ensuring grade continuity above the cut-off value, and by excluding non-mineable material prior to reporting.

(66)   Metallurgical recoveries reported as the average over the life of mine and are assumed to be 96% Au and 85% Ag, respectively.

(67)   Bulk density is estimated by lithology and averages 2.47, 2.57 and 2.54 g/cm3 for the Salinas, Mita and mineralized vein domains, respectively. Stockpile mineral resources are based on unconsolidated specific gravity of 2.0 gm/mm3 along with gold and silver grades and metal content.

(68)   Serra Grande project mineral resource estimates have been prepared by GE21 consulting (Brazil) Ltd., a Qualified Person as defined by S-K 1300 definition.

(69)   Indicated and Inferred Resource estimate reported above a 0.31 Au (g/t) cut-off for Open Pit and 1.29 Au (g/t) cut-off for Underground.

(70)   The effective date of the Mineral Resource estimate is November 30, 2025.

(71)   The MRE is delimited by Mining tenement areas.

(72)   The MRE was estimated using ordinary kriging in 8 m x 8 m x 3 m blocks according to mineralization zone dimensions to guarantee volumetric adherence.

(73)   The Mineral Resource estimate was restricted by a pit shell defined using metal prices of 3,100.00 US$/oz Au, Mining cost of 2.82 US$/t mined and processing cost of 23.98 US$/t processed.

(74)   Surface Topography as of November 30, 2025.

Table 3: Inferred Mineral Resource Estimates (as of December 31, 2025)

 Gold
  Inferred
PropertyDepositTonnes (Kt)Au (g/t)Au (oz)
Almas(24)-(30)        Paiol (open pit)4310.588,000
Almas(24)-(30)        Paiol (UG)3,7440.6781,000
Almas(24)-(30)        Cata Funda3820.9612,000
Almas(24)-(30)        Vira Saia2,2440.7755,000
Aranzazu(15)-(23)        Aranzazu5,6190.4886,120
Minosa(6)-(14)        San Andres8,4390.41111,640
Apoena(37)-(46)        Nosde-Lavrinha1,9671.62102,150
Apoena(37)-(46)        Ernesto (Open Pit)560.901,610
Apoena(37)-(46)        Ernesto (UG)5461.8031,690
Apoena(37)-(46)        Ernesto-Lavrinha
Connection
5330.427,190
Apoena(37)-(46)        Pau-A-Pique712.475,660
Apoena(37)-(46)        Japonês
Matupa(47)-(53)        X1780.781,950
Matupa(54)-(59)        Serrinhas4,6100.79117,900
Matupa(54)-(59)        Pe Quente6,6200.77162,900
Borborema(31)-(36)        Borborema25,2000.87706,100
Era Dorada(60)-(67)        Era Dorada7365.94141,000
MSG (Open pit)(67)-(74)        Serra Grande (Open Pit)8,9101.16332,240
MSG (UG)(67)-(74)        Serra Grande (UG)13,3704.031,733,440
Total         83,5701.383,697,590


 Copper
  Inferred
PropertyDepositTones (Kt)Cu (%)‎Cu (lb.*1000)‎
Aranzazu(15)-(23)        Aranzazu5,6190.85104,858
Total         5,6190.85104,858


 Silver
  Inferred
PropertyDepositTones (Kt)Ag (g/t)Ag (Koz)
Aranzazu (15)-(23)        Aranzazu5,61915.002,744
Matupa(47)-(53)         781.253
Era Dorada(60)-(67)        Era Dorada73619.22455
Total         6,43315.483,202

Notes:

(1)   S-K 1300 definitions were used to estimate Mineral Resources.

(2)   The Mineral Resource estimate is reported on a 100% ownership basis.

(3)   Mineral Resources are exclusive to Mineral Reserves. Mineral Resources that are not Mineral Reserves do not have demonstrated economic viability.

(4)   The estimate of Mineral Resources may be materially affected by environmental, permitting, legal, marketing or other relevant issues.

(5)   Contained metal figures may not be added due to rounding.

(6)   The Mineral Resource estimate for the Minosa Mine was prepared under the supervision of Farshid Ghazanfari, P.Geo. as a Qualified Person as defined by S-K 1300.

(7)   The effective date of Mineral Resources for San Andres (Minosa) mine is December 31, 2025.

(8)   Mineral Resources are contained within a pit shell and are estimated in situ.

(9)   Mining dilution, mining losses or process losses were not applied in estimating Mineral Resources.

(10)   Mineral Resources are estimated at a cut-off grade of 0.142 g/t Au Oxide and 0.221 g/t Au Mixed. Metallurgical recovery is 70% for oxide material and 45% for mixed material.

(11)   Mineral Resources are estimated using a long-term gold price of US$3,100 per ounce.

(12)   A minimum mining width of 6 m was used. The Mineral Resources are also constrained by a 50 m exclusion zone along the Agua Caliente River.

(13)   Bulk density is estimated by lithology and averages 2.38 g/cm3.

(14)   Surface topography as of December 31, 2025, and 200m river offset restrictions have been imposed in San Andres.

(15)   The Mineral Resource estimate for the Aranzazu Mine was prepared under the supervision of Farshid Ghazanfari, P.Geo. as a Qualified Person as defined by S-K 1300.

(16)   The effective date of Mineral Resources for Aranzazu mine is December 31, 2025.

(17)   Mineral Resources are reported on an in-situ basis without applying mining dilution, mining losses or process losses.

(18)   Mineral Resources are estimated at an NSR cut-off value of $50/t.

(19)    Mineral Resources are estimated using long-term price of US$2,600 per ounce of gold, US$4.40 per pound of copper, US$35 per ounce of silver and a US$/MXN exchange rate of 1:19.

(20)   Metallurgical recoveries are 90.3% for Cu, 78.5% for Au and 59.0% for Ag. The figures only consider material classified as sulphide mineralization for Aranzazu.

(21)   The NSR formula is as follows: NSR = 78.228 x Cu (%) + 57.612 x Au (g/t) + 0.534 x Ag (g/t).

(22)   A minimum mining width of 2.0 m was used.

(23)   Estimated bulk density ranges between 2.03 t/m3 and 5.51 t/m3.

(24)   The Qualified Person for Almas mine is SLR consulting (Canada) Ltd.

(25)   The effective date of Mineral Resources for Almas mine is December 31, 2025.

(26)   Mineral Resources are reported from optimized pit shells and are estimated in situ.

(27)   Mineral Resources are estimated at a cut-off grade of 0.22 g/t Au for Paiol, 0.25 g/t Au for Cata Funda and 0.24 g/t Au for Vira Saia.

(28)   Mineral Resources are estimated using a long-term gold price of US$2,600 per ounce.

(29)   A minimum mining width of 2 m was considered for Underground Resources.

(30)   Bulk density is 2.75 t/m3 for Paiol, 2.75 t/m3 for Cata Funda, and 2.64 t/m3 for Vira Saia. Metallurgical recovery is 92.5% for high-grade (Au≥0.90 g/t) material, 92.5% for medium-grade (0.70≤Au<0.89 g/t) and 86% for low-grade (0.34≤Au<0.69 g/t).

(31)   The Qualified Person for Borborema Mineral Resources is Erik Ronald, P. Geo (PGO #3050), Principal Consultant with SRK Consulting (U.S.), Inc. based in Denver, USA.

(32)   The effective date of Mineral Resources for Borborema mine is December 31, 2025.

(33)   Mineral Resources have been categorized subject to the opinion of a Qualified Person based on the quality of informing data for the estimate, consistency of geological/grade distribution and data quality, and have been validated using visual and statistical analyses.

(34)   The economic CoG for Mineral Resources is 0.20 g/t Au based on the long-term sale outlook price of US$3,100/troy ounce of gold, 92.1% recovery, average mining costs of US$3.10/t, processing costs of US$13.28/t, G&A of US$2.8 and sustaining capital costs of US$0.92/t.

(35)   Variable pit slope angles between 45 and 64.5 degrees, 0% mining dilution and 100% mining recovery have been used for mineral resources.

(36)   Mineral Resources were reported above the economic 0.20 g/t Au CoG and are constrained by an optimized resource pit shell with all material categorized as mineral reserves excluded from the resource calculation. The quantity of Indicated mineral resources listed above represents the Indicated mineral resources located outside the mineral reserve pit shell. The quantity of Inferred mineral resources represent Inferred located within the reserve pit shell and the resource pit shell. Inferred mineral resources are not considered to be of sufficient confidence for the application of reserve modifying factor.

(37)   The Mineral Resource estimate for the Apoena Mines was prepared under the supervision of Farshid Ghazanfari, P.Geo. as a Qualified Person as defined by S-K 1300.

(38)   The effective date of Mineral Resources for Apoena mine is December 31, 2025. The effective date of Mineral Resources and Mineral Reserve in the technical report for Apoena mines is October 31, 2023. The changes since the effective date of the technical report are not material.

(39)   Mineral Resources are reported from optimized pit shells for open pit mines and are estimated in situ.

(40)   Mineral Resources are estimated based on a long-term gold price of US$3,100 per ounce for Nosde-Lavrinha and Ernesto open pit mines.

(41)   Mineral Resources are estimated based on a long-term gold price of US$3,100 per ounce for Japonês and Ernesto-Lavrinha Connection open pit mines.

(42)   Mineral Resources are estimated using a long-term gold price of US$1,750 per ounce for Pau-a-pique underground mine.

(43)   The underground Mineral Resources is based on a cut-off grade of 1.34g/t Au and minimum width of 2m in Pau-A-Pique mine and 1.00 g/t Au for Ernesto.

(44)   Mineral Resources are estimated in-situ from the 410m EL to the 65m EL, or from approximately 30m depth to 500m depth from surface in Pau-A-Pique mine (EPP).

(45)   Surface topography was based on December 31, 2024 in EPP Mine except Pau-A-Pique mine.

(46)   Density models based on rock types were used for volume to tonnes conversion with resources averaging 2.83 tonnes/m3 in Nosde-Lavrinhas mines for schist and 2.71 tonnes/m3 for meta-arenite and 2.77 tonnes/m3 in Pau-A-Pique mine, 2.65 tonnes/m3 in Ernesto mine and 2.76 tonnes/m3 in Japonês mine.

(47)   The Qualified Person for Matupa (X1) project is Farshid Ghazanfari, P.Geo. Aura’s Mineral Resource and Geology Manager

(48)   The effective date of Mineral Resources for Matupa project is August 31, 2022 and is 100% attributable to Aura.

(49)   Mineral Resources are reported from optimized pit shells for open pit mines and are estimated in situ.

(50)   The Measured and Indicated in situ Mineral Resources are contained within a limiting pit shell (using a gold price of US$1,800 per ounce Au) in Matupá.

(51)   The base case cut-off grade for the estimate of Mineral Resources is 0.35 g/t Au in Matupá.

(52)   The metallurgical recovery is estimated to be 93.2% for gold ascertained from metallurgical tests.

(53)   Surface topography used in the models was surveyed July 31, 2021.

(54)   The Qualified Person for Serrinhas and Pe Quente is GE21 consulting (Brazil) Ltd.

(55)   Mineral Resources are constrained within an open pit shell generated using Reasonable Prospects of Economic Extraction (RPEE) parameters and are restricted to the limits of the current mining tenements.

(56)   The open pit optimization was completed using Whittle software with a revenue factor of 1.0 using the following assumptions: Gold price of US$3,100 per ounce; Overall slope angles of 36° in saprolite and 52° in fresh rock; Mining costs of US$2.49 per tonne mined (ore) and US$2.28 per tonne mined (waste); Processing cost of US$13.32 per tonne of ROM; Sustaining capital of US$0.75 per tonne of ROM; General and administrative cost of US$4.42 per tonne of ROM; Transportation cost of US$5.07 per tonne of ROM; CEFM and royalties totaling 3% of gross revenue; Mining recovery of 100% and dilution of 0%. Selling cost 106.13 US$/oz.

(57)   Mineral Resources are reported at a cut-off grade of 0.25 g/t Au for Serrinhas and 0.266 for Pe Quente.

(58)   Surface topography used in the Serrinhas and Pe Quente models was surveyed August 31, 2025.

(59)   Mineral Resource tonnages and grades have been rounded to reflect the relative accuracy of the estimate. Totals may not sum due to rounding.

(60)   Era Dorada project mineral resource estimates have been prepared by Garth Kirkham, a Qualified Person as defined by S-K 1300.

(61)    Effective date of the Mineral Resource Estimate is November 30, 2025.

(62)   Mineral resources are classified as Indicated, and Inferred based on geological confidence and continuity, spacing of drill holes and data quality.

(63)   Underground mineral resources are reported at a cut-off grade of 2.25 g Au/t. Cut-off grades are based on assumed metal prices of US$2,500/oz gold and US$28/oz silver, and assumed metallurgical recovery, mining, processing and G&A costs.

(64)   Mineral Resources are reported without applying mining dilution, mining losses or process losses.

(65)   Resources are constrained within underground shapes based on reasonable prospects of economic extraction, in accordance with S-K 1300. Reasonable prospects for economic extraction were met by applying mining shapes with a minimum mining width of 2.0 m, ensuring grade continuity above the cut-off value, and by excluding non-mineable material prior to reporting.

(66)   Metallurgical recoveries reported as the average over the life of mine and are assumed to be 96% Au and 85% Ag, respectively.

(67)   Bulk density is estimated by lithology and averages 2.47, 2.57 and 2.54 g/cm3 for the Salinas, Mita and mineralized vein domains, respectively

(68)   Serra Grande project mineral resource estimates have been prepared by GE21 consulting (Brazil) Ltd., a Qualified Person as defined by S-K 1300.

(69)   Indicated and Inferred Resource estimate reported above a 0.31 Au (g/t) cut-off for Open Pit and 1.29 Au (g/t) cut-off for Underground.

(70)   The effective date of the Mineral Resource estimate is November 30, 2025.

(71)   The MRE is delimited by Mining tenement areas.

(72)   The MRE was estimated using ordinary kriging in 8 m x 8 m x 3 m blocks according to mineralization zone dimensions to guarantee volumetric adherence.

(73)   The Mineral Resource estimate was restricted by a pit shell defined using metal prices of 3,100.00 US$/oz Au, Mining cost of 2.82 US$/t mined and processing cost of 23.98 US$/t processed.

(74)   Surface Topography as of November 30, 2025.

Quality Assurance and Quality Control

Aura incorporates a rigorous Quality Assurance and Quality Control (“QA/QC”) program for all operations and exploration projects which conforms to industry best practices as outlined by S-K 1300 definitions.

For a complete description of Aura’s sample preparation, analytical methods and QA/QC procedures, please refer to SK 1300 and the applicable Technical Report Summary, a copy of which is included as an exhibit to our 2025 Annual Report, available on the Company’s SEC profile at www.sec.com.

Qualified Persons

The scientific and technical information updated since the effective date of the applicable technical report contained in this press release has been reviewed and approved by Farshid Ghazanfari, P.Geo., Geology and Mineral Resources Manager who is an employee of Aura and a “qualified person” within the S-K 1300 definition. The qualified person for the technical report summaries is set out below.

Technical Report Summaries
All information of scientific and technical nature has been derived from the Technical Report Summaries and any information arising since the Technical Report Summaries has been prepared under the supervision of Farshid Ghazanfari, P. Geo. Readers are encouraged to read the following technical reports summaries for the following mineral properties of the Company, copies of which are included as exhibits to our 2025 Annual Report:

  • Aranzazu: Information relating to the Aranzazu Mine is derived from the technical report summary, entitled “S-K 1300 Technical Report Summary on the Aranzazu Mine, Zacatecas, Mexico,” issued March 28, 2025, with an effective date of December 31, 2024, prepared by SLR Consulting (Canada) Ltd. SLR Consulting (Canada) Ltd is the qualified person under S-K 1300;

  • Apoena: Information relating to the Apoena Mine is derived from the technical report summary, entitled “Apoena Mine (EPP Complex) Mineral Resource and Mineral Reserve,” issued March 28, 2025, with an effective date of October 31, 2023, prepared by Porfirio Cabaleiro Rodriguez, Luiz Eduardo Campos Pignatari, Farshid Ghazanfari, Homero Delboni Junior, and Branca Horta de Almeida Abrantes as qualified persons under S-K 1300. Mr. Farshid Ghazanfari is the Geology and Mineral Resources Manager for the Company;

  • Minosa: Information relating to the Minosa Mine is derived from the technical report summary, entitled “S-K 1300 Technical Report Summary, San Andres Mine, Department of Copan, Honduras,” issued March 28, 2025, with an effective date of December 31, 2024, prepared by SLR Consulting (Canada) Ltd. SLR Consulting (Canada) Ltd is the qualified person under S-K 1300;

  • Almas: Information relating to the Almas Mine is derived from the technical report summary, entitled “S-K 1300 Technical Report Summary Almas Project, Tocantins State, Brazil,” issued March 30, 2026, with an effective date of December 31, 2025, prepared by SLR Consulting (Canada) Ltd. SLR Consulting (Canada) Ltd is the qualified person under S-K 1300;
  • Borborema: Information relating to the Borborema Mine is derived from the technical report summary, entitled “Technical Report Summary on the Feasibility Study for the Borborema Gold Project, Currais Novos Municipality, Rio Grande do Norte, Brazil,” issued March 30, 2026, with an effective date of December 31, 2025, prepared by B. Tomaselli B.Sc., FAusIMM (Deswik, Belo Horizonte, Brazil), SRK Consulting (U.S.), Inc., Denver, USA., F. Ghazanfari, P. Geo. (Aura Minerals, 360 Mining), and H. Delboni Jr. Ph.D. (MAusIMM – CP Metallurgy) as qualified persons under S-K 1300. Mr. Farshid Ghazanfari is the Geology and Mineral Resources Manager for the Company;

  • Matupá: Information relating to the Matupá Mine is derived from the technical report summary, entitled “Technical Report Summary on the Feasibility Study for the Matupá Gold Project and Initial Assessment for Serrinhas and Pé Quente Targets, Matupá Municipality, Mato Grosso, Brazil,” issued March 25, 2026, with effective dates of August 31, 2022 for the feasibility study and March 3, 2026 for the initial assessment, prepared by F. Ghazanfari, P. Geo. (Aura Minerals), L. Pignatari, P.Eng. (EDEM, Consultants, Brazil) and H. Delboni Jr., P.Eng. (Independent Mining Consultant, Brazil) as qualified persons under S-K 1300. Mr. Farshid Ghazanfari is the Geology and Mineral Resources Manager for the Company;

  • Information relating to the Era Dorada Project is derived from the technical report summary, entitled “S-K 1300 Technical Report Summary and Feasibility Study, Era Dorada Gold Project, Jutiapa, Guatemala,” issued December 31, 2025, with an effective date of December 31, 2025, prepared by Ausenco do Brasil Engenharia Ltda., Snowden Optiro and Kirkham Geosystems Ltd. as qualified persons under S-K 1300;

  • Mineração Serra Grande: Information relating to the Mineração Serra Grande is derived from the technical report summary, entitled “S-K 1300 Technical Report Summary – Mineral Resource and Mineral Reserve on Mineração Serra Grande Project – Goiás, Brazil,” issued March 30, 2026, with an effective date of November 30, 2025, prepared by GE21 Consultoria Mineral Ltda. as qualified person under S-K 1300.

About Aura 360° Mining
Aura is focused on mining in complete terms – thinking holistically about how its business impacts and benefits every one of our stakeholders: our company, our shareholders, our employees, and the countries and communities we serve. We call this 360° Mining.
Aura is a company focused on the development and operation of gold and base metal projects in the Americas. The Company's six operating assets include the Minosa gold mine in Honduras; the Almas, Apoena, Borborema and MSG gold mines in Brazil; and the Aranzazu copper, gold, and silver mine in Mexico. Additionally, the Company owns Era Dorada, a gold project in Guatemala; Tolda Fria, a gold project in Colombia; and three projects in Brazil: Matupá, which is under development; São Francisco, which is in care and maintenance; and the Carajás copper project in the Carajás region, in the exploration phase.      
Caution Regarding Forward-Looking Information and Statements
All statements other than statements of historical fact are forward-looking statements. Forward-looking statements relate to future events or future performance and reflect the Company’s current estimates, predictions, expectations or beliefs regarding future events and include, without limitation, statements with respect to: expected production from, and the further potential of the Company’s properties; the ability of the Company to achieve its longer-term outlook and the anticipated timing and results thereof; the ability to lower costs and increase production; the economic viability of a project; strategic plans, including the Company’s plans with respect to its properties; amounts of mineral reserves and mineral resources; the amount of future production over any period; capital expenditure and mine production costs; the outcome of mine permitting and other required permitting; the outcome of legal proceedings which involve the Company; information with respect to the future price of copper, gold, silver and other minerals; estimated mineral reserves and mineral resources; the Company’s exploration and development program; estimated future expenses; exploration and development capital requirements; operating costs; strip ratios and mining rates; expected grades and ounces of metals and minerals; expected processing recoveries; expected time frames; prices of metals and minerals; mine life; the ability of the Company to successfully maintain operations at its producing assets, or to restart these operations efficiently or economically, or at all; timing of anticipated technical reports on the properties; and the ability of the Company to continue as a going concern. Often, but not always, forward-looking statements may be identified by the use of words such as “expects”, “anticipates”, “plans”, “projects”, “estimates”, “assumes”, “intends”, “strategy”, “goals”, “objectives” or variations thereof or stating that certain actions, events or results “may”, “could”, “would”, “might” or “will” be taken, occur or be achieved, or the negative of any of these terms and similar expressions.
Forward-looking statements are necessarily based upon a number of estimates and assumptions that, while considered reasonable by the Company, are inherently subject to significant business, economic and competitive uncertainties and contingencies. Forward-looking statements in the 2025 Annual Report are based upon, without limitation, the following estimates and assumptions: the presence of and continuity of metals at the Company’s projects at modeled grades; the capacities of various machinery and equipment; the availability of personnel, machinery and equipment at estimated prices; exchange rates; metals and minerals sales prices; appropriate discount rates; tax rates and royalty rates applicable to the mining operations; cash costs; anticipated mining losses and dilution; metals recovery rates, reasonable contingency requirements; our expected ability to develop adequate infrastructure at a reasonable cost; our expected ability to develop our projects including financing such projects; and receipt of regulatory approvals on acceptable terms.
Known and unknown risks, uncertainties and other factors, many of which are beyond the Company’s ability to predict or control could cause actual results to differ materially from those contained in the forward-looking statements. Specific reference is made to the section entitled “Risk Factors” in our 2025 Annual Report, for a discussion of some of the factors underlying forward-looking statements, which include, without limitation, risks related to exploration, development and operations, market fluctuations and commercial quantities of minerals, funding needs, liquidity and going concerns, foreign operations, government regulations, consents and approvals, stakeholders, increases in production costs, construction and development of new mines, infrastructure, concentration of customers, environmental and safety regulations and risks, competition, retention of key personnel, uncertainty in the estimation of mineral resources and reserves, replacement of depleted mineral reserves, production estimates, currency risk, write-downs and impairments, mineral titles, market price of Shares and Brazilian Depositary Receipts (“BDRs”), insurance and uninsured risks, public company obligations, tax matters, information technology, labour and employment matters, nature and climatic conditions, risks inherent in acquisitions, reputational risk, risks associated with transportation and storage of ingots or concentrate, risks associated with joint ventures, illegal activity, litigation, enforcement of judgments, interests of the controlling shareholder, dividend policy and global financial conditions. Readers are cautioned that the foregoing list of factors is not exhaustive of the factors that may affect the forward-looking statements.
All forward-looking statements herein are qualified by this cautionary statement. Accordingly, readers should not place undue reliance on forward-looking statements. The Company undertakes no obligation to update publicly or otherwise revise any forward-looking statements whether as a result of new information or future events or otherwise, except as may be required by law. If the Company does update one or more forward-looking statements, no inference should be drawn that it will make additional updates with respect to those or other forward-looking statements.

Caution Regarding Mineral Resource and Mineral Reserve Estimates

The figures for mineral resources and reserves contained herein are estimates only and no assurance can be given that the anticipated tonnages and grades will be achieved, that the indicated level of recovery will be realized or that the mineral resources and reserves could be mined or processed profitably. Actual reserves, if any, may not conform to geological, metallurgical or other expectations, and the volume and grade of ore recovered may be below the estimated levels. There are numerous uncertainties inherent in estimating mineral resources and reserves, including many factors beyond the Company’s control. Such estimation is a subjective process, and the accuracy of any reserve or resource estimate is a function of the quantity and quality of available data and of the assumptions made and judgments used in engineering and geological interpretation. Short-term operating factors relating to the mineral resources and reserves, such as the need for orderly development of the ore bodies or the processing of new or different ore grades, may cause the mining operation to be unprofitable in any particular accounting period. In addition, there can be no assurance that metal recoveries in small scale laboratory tests will be duplicated in larger scale tests under on-site conditions or during production. Lower market prices, increased production costs, the presence of deleterious elements, reduced recovery rates and other factors may result in revision of its resource and reserve estimates from time to time or may render the Company’s resources and reserves uneconomic to exploit. Resource and reserve data is not indicative of future results of operations. If the Company’s actual mineral resources and reserves are less than current estimates or if the Company fails to develop its resource base through the realization of identified mineralized potential, its results of operations or financial condition may be materially and adversely affected.
All forward-looking statements herein are qualified by this cautionary statement. Accordingly, readers should not place undue reliance on forward-looking statements. The Company undertakes no obligation to update publicly or otherwise revise any forward-looking statements whether as a result of new information or future events or otherwise, except as may be required by law. If the Company does update one or more forward-looking statements, no inference should be drawn that it will make additional updates with respect to those or other forward-looking statements.

Photos accompanying this announcement are available at 

https://www.globenewswire.com/NewsRoom/AttachmentNg/e244f4bf-c158-4ad5-855a-037d8ae4ba73

https://www.globenewswire.com/NewsRoom/AttachmentNg/0a194f16-eac9-4283-bef1-42b52e555770

https://www.globenewswire.com/NewsRoom/AttachmentNg/48f8241f-4663-4e8e-8967-af597d344066

https://www.globenewswire.com/NewsRoom/AttachmentNg/a1d10ea4-d30b-4e16-8f77-01145c4d6d2f

https://www.globenewswire.com/NewsRoom/AttachmentNg/e4faf290-9a0e-4572-9f8c-78bebe000bcf

https://www.globenewswire.com/NewsRoom/AttachmentNg/db86150b-2b9e-4bc2-8f6d-848050c7124c

https://www.globenewswire.com/NewsRoom/AttachmentNg/203a5ef5-bf4a-4157-bcf8-e92a462d7fe4

https://www.globenewswire.com/NewsRoom/AttachmentNg/9531deef-6181-4ba6-b804-06a714ee5a88

https://www.globenewswire.com/NewsRoom/AttachmentNg/2e983f57-4f7e-4eca-b915-bcccb100131c

https://www.globenewswire.com/NewsRoom/AttachmentNg/5be3e6e7-06cc-4ada-841a-009b8faa8582

 


For more information, please contact:
Investor Relations
ri@auraminerals.com
www.auraminerals.com

Primary Logo

Figure 1

Figure 1
Figure 2

Figure 2
Figure 3

Figure 3
Figure 4

Figure 4
Figure 5

Figure 5
Figure 6

Figure 6
Figure 7

Figure 7
Figure 8

Figure 8
Figure 9

Figure 9
Figure 10

Figure 10

© 2026 Canjex Publishing Ltd. All rights reserved.