23:21:04 EST Sat 07 Feb 2026
Enter Symbol
or Name
USA
CA



Iamgold Corp
Symbol IMG
Shares Issued 481,153,584
Close 2023-10-23 C$ 3.26
Market Cap C$ 1,568,560,684
Recent Sedar+ Documents

Iamgold drills 300.8 m of 1.4 g/t Au at Cote

2023-10-23 10:49 ET - News Release

Mr. Renaud Adams reports

IAMGOLD ANNOUNCES COTE GOLD PROJECT PROGRESS UPDATE AND POSITIVE RESULTS OF THE 2023 GOSSELIN DRILLING PROGRAM

Iamgold Corp. has released an update for the Cote gold project, highlighting the construction progress in the third quarter alongside additional assay results from its continuing diamond drilling program at the Gosselin zone discovery located immediately adjacent to the Cote gold deposit. The advancement of Cote gold and the Gosselin delineation drilling program is being undertaken as part of the Cote gold joint venture between Iamgold, as the operator, and Sumitomo Metal Mining Co. Ltd. (SMM). Cote gold is located in Ontario, Canada, and is currently under construction with production expected to commence in early 2024.

Highlights of Q3 2023 Cote gold construction progress:

  • As of Sept. 30, 2023, overall project progress for Cote gold was estimated to be 90.6 per cent complete, with construction progress approximately 92 per cent complete.
  • Strong performance on health and safety during peak construction with over 1,800 workers at site -- bringing total project hours worked to 13.2 million hours with a project-to-date TRIFR (total recordable injury frequency rate) of 0.68.
  • Earthworks on the TMF has allowed the dams to achieve elevation milestones to enable the filling of the TMF with water to store the 1.1 million to 1.5 million cubic metres required for commissioning and initial operation.
  • Demobilizing contractor with Iamgold operating teams successfully taking control of pit, dewatering, pioneer drilling and overburden stockpile activities from the contractor.
  • Significant progress in the dry and wet areas of the process facility, as bulk construction activities are winding down, ushering in the finishing and completion stages.
  • Electrification of the site is continuing following connection to the provincial hydro grid.
  • Commissioning and precommissioning teams are working with construction teams to co-ordinate the overlapping of preoperation activities with remaining construction.
  • Autonomous mining haul trucks have continued to ramp up, with 10 CAT 793F currently operating autonomously and a total of 14 commissioned.
  • Mining activities have built the current ore stockpile to 3.7 million tonnes (Mt) of material, on schedule to the target build-up of five million tonnes by the end of the year.
  • Hiring of key positions for operations has progressed well with 400 roles filled to date.

Highlights of the Gosselin drilling program:

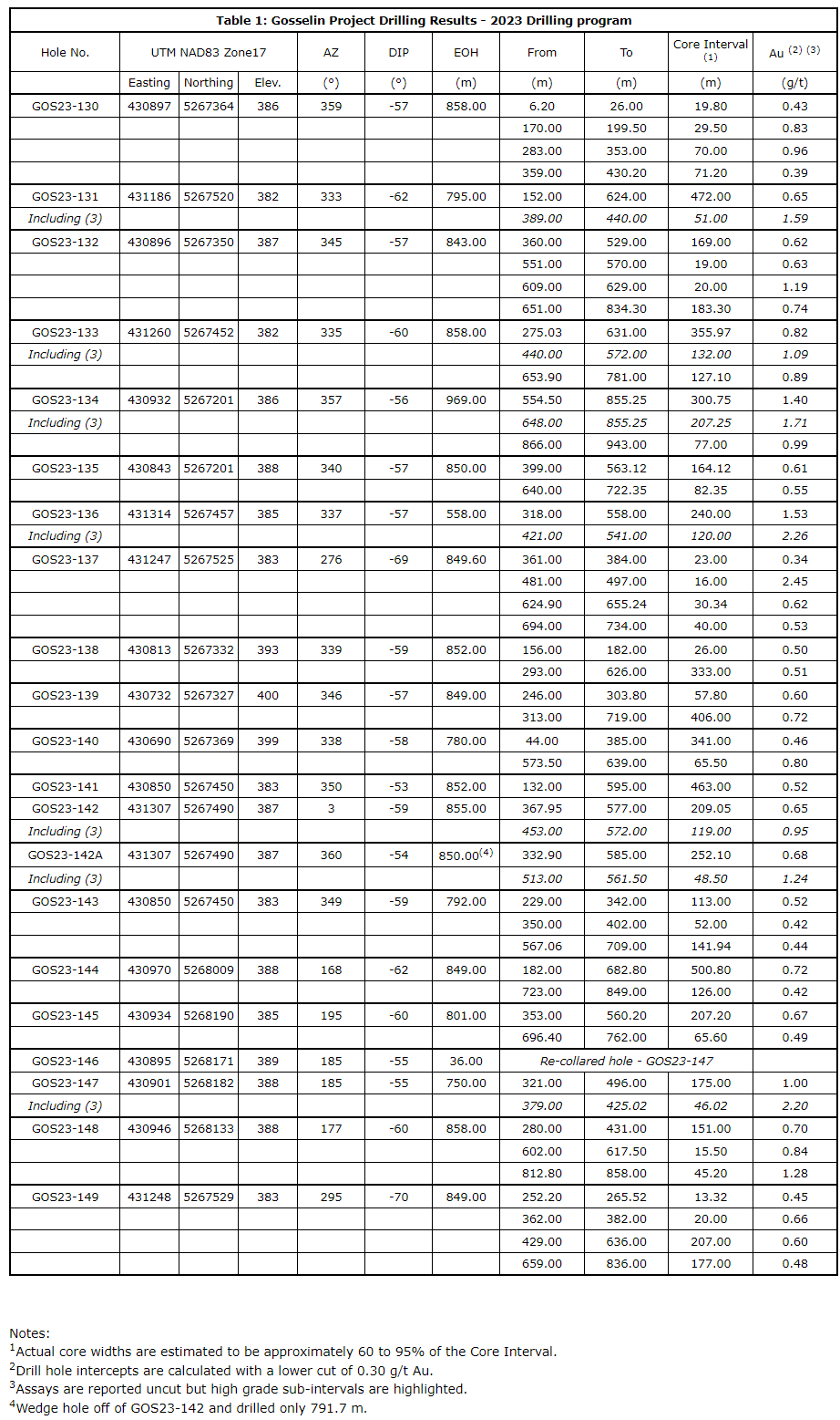
  • 472 metres at 0.65 gram per tonne (g/t) gold (Au) in drill hole GOS23-131 from 152 m, including:
    • 51 m at 1.59 g/t Au from 389 m.
  • 356 m at 0.82 g/t Au in drill hole GOS23-133 from 275 m, including:
    • 132 m at 1.09 g/t Au from 440 m.
  • 300.8 m at 1.40 g/t Au in drill hole GOS23-134 from 554.5 m, including:
    • 207.3 m at 1.71 g/t Au from 648 m.
  • 240 m at 1.53 g/t Au in drill hole GOS23-136 from 318 m, including:
    • 120 m at 2.26 g/t Au from 421 m.
  • 500.8 m at 0.72 g/t Au in drill hole GOS23-144 from 182 m.

Renaud Adams, president and chief executive officer of Iamgold, stated: "It is an exciting time for Iamgold as we near the finish line of construction at Cote and start a new chapter at Iamgold. This is a project that is critical for the repositioning of this company, as when Cote gold comes on-line, the company will have a significantly higher production base and lower-cost profile, providing a strong foundation of cash flow and growth opportunities in Canada. We have seen remarkable progress and transformation of the project, and we are excited to host our investor and analyst tour at site tomorrow to allow for the group to not only see the advancement of the asset, but to have the opportunity to see the confidence of the team on the ground as we approach commissioning and the ramp-up of production next year."

Commenting on the Gosselin drilling program, Craig MacDougall, executive vice-president, growth, for Iamgold, stated: "This diamond drilling program has strategically targeted the expansion potential of the Gosselin deposit at depth, specifically below the East and newly discovered West hydrothermal breccia bodies, the gap area between these breccias, and also along the southern edge of the deposit. The assay results confirmed the extension of gold-bearing altered and mineralized hydrothermal breccia and associated tonalite intersected in numerous drill holes up to 400 metres vertically below the previous resource pit shell over an approximate one-kilometre strike length. The results are very encouraging and indicate that the Gosselin deposit, subject to the completion of further delineation drilling, has potential to expand in size similar to the adjacent Cote deposit."

Cote gold project progress in Q3 2023

As of Sept. 30, 2023, on an overall project progress basis, Cote Gold was estimated to be 90.6 per cent complete, with construction progress approximately 92 per cent complete. The associated table provides an update on project activities.

Upcoming milestones and schedule summary

Cote Gold is expected to commence production in the first quarter of 2024. Construction of the project commenced in the third quarter of 2020 and major earthworks commenced in the first quarter 2021.

The company notes that potential further impacts, including, without limitation, inflationary pressures, global supply chain disturbances, disruptions from weather events resulting in limited or no productivity, such as extreme cold or forest fires in dry, hot summer months, labour disputes and the tight labour market could impact the timing of activities, costs, availability of work force, productivity, and supply chain and logistics and, consequently, could further impact the timing of actual commercial production and, consequently, project costs.

To view an interactive 3-D model of the Cote project progress and deposits, please visit the company's website (updated to Aug. 31, 2023, excluding Gosselin results herein).

Gosselin drilling program results

Iamgold is reporting assay results from an additional 21 diamond drill holes, totalling 16,495 metres, completed between Jan. 20 and Aug. 24, 2023. The assay results reported are provided in the table entitled "Gosselin project drilling results -- 2023 drilling program."

The favourable results from this phase of drilling provide evidence the Gosselin deposit is approaching similar dimensions as the adjacent Cote deposit. Drill intercepts obtained from the newly discovered West Breccia have significantly expanded this breccia body, which now measures 250 metres by 170 metres and extends for a depth of approximately 400 metres. This has helped to highlight a highly prospective corridor at depth, measuring up to 850 metres in strike length, that remains to be tested between the Gosselin West breccia and the Cote deposit hydrothermal breccia. This represents a priority exploration opportunity to further expand the Gosselin resource below the 400-metre vertical depth extent of the current 2021 resources pit shell.

Continuing technical studies on Gosselin have advanced in 2023 in conjunction with the diamond drilling program. A drill core sampling program was completed and submitted for additional metallurgical test work to evaluate comminution characteristics, and gold recoveries over a range of ore types and grades. Also, mining and infrastructure studies continue to review alternatives to optimize the possible inclusion of the Gosselin deposit into a future Cote gold life-of-mine plan.

Next steps

The 2023 diamond drilling program continued to successfully demonstrate extensions of the Gosselin deposit, both at depth (below 400 metres vertical depth) and along the south edge of the deposit. These results will be incorporated into the deposit model to support an updated mineral resource estimate as part of the year-end mineral resources disclosure.

Planning is currently under way for the next phases of diamond drilling, with the goal to complete expansion drilling of the Gosselin resource to the same depth as the Cote resource pit (approximately 825 metres vertical) and to complete additional infill drilling to improve resource classification. Technical studies will continue to advance metallurgical testing, along with planned mining and infrastructure studies.

About the Gosselin deposit

The Gosselin deposit is located immediately adjacent to the northeast of the Cote gold deposit and is accessible by construction roads on the mine property. Diamond drilling to date has delineated wide intervals of low-grade gold mineralization hosted in altered and brecciated intrusive lithologies similar to that observed at the adjacent Cote gold deposit, extending from the Young-Shannon historical shaft in the west to the Gosselin zone in the east. Drilling to date has outlined mineralization over a strike length of 1,400 metres, width of 400 metres and a depth extent of up to 800 metres. The deposit outcrops below the shallow Three Ducks Lake, and remains open at depth to the northwest, and along strike to the northeast and southwest.

Current estimated mineral resources at the Gosselin deposit are composed of 124.5 million tonnes of indicated resources grading 0.84 gram per tonne of gold for 3.35 million ounces of contained gold and 72.9 million tonnes of inferred resources grading 0.73 gram per tonne of gold for 1.71 million ounces of contained gold, at overall grade similar to the Cote gold deposit (refer to company news release dated Oct. 18, 2021).

Qualified person and technical information

The drilling results contained in this news release have been prepared in accordance with National Instrument 43-101 -- Standards of Disclosure for Mineral Projects (NI 43-101).

Al Smith, PGeo, district manager of exploration for Iamgold in the Ontario Cote gold district, is the qualified person (QP) for the purposes of NI 43-101, and is responsible for the supervision of the preparation, verification and review of the technical information in this news release.

The QP responsible for the planning, supervision and execution of the diamond drilling program is Brad McKinley, PGeo, senior geologist for Iamgold in the Ontario Cote gold district. The technical information has been included herein with the consent and prior review of the above noted QPs.

The technical and scientific information relating to exploration activities disclosed in this document was prepared under the supervision of, and verified and reviewed by, Mr. MacDougall, PGeo, executive vice-president, growth, Iamgold. Mr. MacDougall is a qualified person as defined in NI 43-101.

About Iamgold Corp.

Iamgold is an intermediate gold producer and developer based in Canada with operating mines in North America and West Africa. The company is building the large-scale, long-life Cote gold project in Canada in partnership with Sumitomo Metal Mining Co. Ltd., which is expected to commence production in early 2024. In addition, the company has an established portfolio of early-stage and advanced exploration projects within high potential mining districts in the Americas. Iamgold employs approximately 3,300 people and is committed to maintaining its culture of accountable mining through high standards of environmental, social and governance (ESG) practices, including its commitment to zero harm in every aspect of its business. Iamgold is listed on the New York Stock Exchange (IAG) and the Toronto Stock Exchange (IMG), and is one of the companies on the Jantzi Social Index (JSI), a socially screened market capitalization-weighted index, consisting of companies which pass a set of broadly based environmental, social and governance rating criteria.

We seek Safe Harbor.

© 2026 Canjex Publishing Ltd. All rights reserved.