22:12:56 EST Sat 07 Feb 2026
Enter Symbol
or Name
USA
CA



Lara Exploration Ltd
Symbol LRA
Shares Issued 45,801,014
Close 2023-11-14 C$ 0.56
Market Cap C$ 25,648,568
Recent Sedar+ Documents

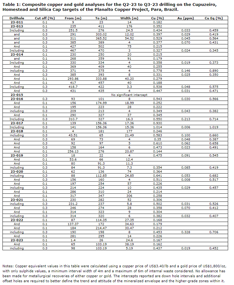
Lara Exploration drills 54.52 m of 0.529% Cu at Planalto

2023-11-15 10:11 ET - News Release

Mr. Chris MacIntyre reports

LARA REPORTS FURTHER WIDE INTERCEPTS IN THE CUPUZEIRO AND HOMESTEAD TARGETS AND A SIGNIFICANT HIGH-GRADE INTERCEPT AT THE SILICA CAP TARGET

Lara Exploration Ltd. has released the final results of the recently completed 9,100-metre diamond drill program at the Planalto copper project.

A significant new zone of shallow copper mineralization was identified in the northern extension of the Cupuzeiro target where drill hole 23-018 intersected 21.49 metres of 0.583% Cu from 43.51m down hole. This hole is located approximately 500m to the north of the near surface Cupuzeiro high-grade copper zone. Deeper copper intersections in this same area of the Cupuzeiro target were identified in holes 23-016 (16.3 metres of 0.55%Cu from 310.7m down hole) and in hole 23-021 (28 metres of 0.358%Cu from 246m down hole).

Significant new intersections in the east and north of the Homestead target include holes 23-013 (with 54.52 metres of 0.529%Cu from 311m down hole) and 23-020 (with 24.8 metres of 0.641%Cu from 88m down hole).

At the Silica Cap target, hole 23-017 made a significant high-grade intersection of 15.36 metres of 1.014%Cu from 141m down hole. This intercept is located between two previously recorded high grade copper intersections (19-018: 15.8 metres of 0.94%Cu and 19-025: 13.1 metres of 0.65%Cu) and indicates that the copper mineralization in the mafic volcanics close to the granite contact in the Silica Cap target may be more widespread than previously interpreted.

The results for the first part of this program were reported on October 4, 2023. The new results include assays for five holes in the northern extension of the Cupuzeiro target (holes 23-016, 23-018, 23-019-, 23-021 and 23-022), five holes (23-011, 23-013, 23-014, 23-015 and 23-020) in the north, east and west parts of the Homestead target and two holes (23-017 and 23-023) in the Silica Cap target. Significant drill intersections for all the holes are reported in Table 1.

All the drill core is cut and sampled under the supervision of the company's Vice President Exploration and the chain of custody of the drill core from the Project area to the Company's sample preparation facility in Canaa dos Carajas was continuously monitored. Sample intervals for the drill core were mostly maintained at about 2m with some variation in the weathered saprolite zones and at times guided by the degree of copper mineralization. Blank, duplicate core or certified gold and copper reference materials were inserted at approximately every 10th sample.

The drill core samples were delivered by courier to the ALS preparation laboratory located in Parauapebas, 65km to the north from the Project, where they were crushed and pulverized. The sample pulps were then dispatched to the ALS laboratory in Lima for analysis. The pulps were subjected to multi-acid digestion with copper and 47 other elements were determined by ICP-MS. Gold was determined by fire assay fusion and an ICP-AES finish on a 30-gram charge.

Michael Bennell, Lara's Vice President Exploration and a Fellow of the Australasian Institute of Mining and Metallurgy (AusIMM), is a Qualified Person as defined by National Instrument 43-101 Standards of Disclosure for Mineral Projects and has approved the technical disclosure and verified the technical information in this news release.

About the Planalto Project:

The Planalto Copper Project covers volcano-sedimentary sequences and intrusives of early Proterozoic-age, located between Vale's Sossego copper mine and Cristalino copper development project, and BHP's Pedra Branca copper mine and Antas mill, in the Carajas Mineral Province of northern Brazil. Lara owns 100% of the Homestead discovery, subject to a 2% NSR royalty payable on any production (Lara retains the right to purchase 50% of this royalty for a cash payment of US$2 million). Lara has further options to acquire outright two adjacent licenses, covering northward strike extensions to the Homestead mineralization and the new Cupuzeiro discovery, from Mineracao Tariana and Mineracao Zaspir (see news releases of January 11 and March 15, 2021, for details). To date 26,016m of diamond drilling have been completed on the Planalto Copper Project, with the latest holes reported linking Homestead and Cupuzeiro into a single body of mineralization. Lara plans to deliver a maiden mineral resource estimate and then complete a Preliminary Economic Assessment in 2024.

About Lara Exploration

Lara is an exploration company following the Prospect and Royalty Generator business model, which aims to minimize shareholder dilution and financial risk by generating prospects and exploring them in joint ventures funded by partners, retaining a minority interest and or a royalty. The Company currently holds a diverse portfolio of prospects, deposits and royalties in Brazil, Peru and Chile. Lara's common shares trade on the TSX Venture Exchange under the symbol "LRA".

© 2026 Canjex Publishing Ltd. All rights reserved.