23:42:09 EST Sat 07 Feb 2026
Enter Symbol
or Name
USA
CA



Sitka Gold Corp
Symbol SIG
Shares Issued 249,944,939
Close 2024-03-13 C$ 0.20
Market Cap C$ 49,988,988
Recent Sedar+ Documents

Sitka Gold drills 28.96 m of 0.38 g/t Au at Alpha

2024-03-14 09:53 ET - News Release

Mr. Cor Coe reports

SITKA GOLD PROVIDES UPDATE ON ITS NORTH AMERICAN GOLD, SILVER AND COPPER ASSETS

Sitka Gold Corp. has provided project updates for its portfolio of gold, silver and copper properties located in proven, mining-friendly jurisdictions in North America.

Sitka's project portfolio includes the RC gold project and OGI project located in Yukon, the Alpha gold project located in Nevada, the Burro Creek project located in Arizona, and the Coppermine River project located in Nunavut. Sitka's projects vary from grassroots and discovery-stage properties to advanced-stage projects that include the recent discovery of a significant gold deposit at its RC gold project which is open for expansion in all directions. The company's primary focus for 2024 is on its flagship RC gold project where an initial inferred gold resource of 1.34 million ounces of gold was recently announced and a winter diamond drilling program focused on expansion of this resource is currently under way. Results from drilling at the Alpha gold project in Nevada have been received and key permits have also recently been secured to allow for drilling at the Burro Creek project in Arizona and the Coppermine River project in Nunavut.

Sitka Gold is a well-financed mineral exploration company headquartered in Canada with approximately $7.5-million in the treasury. The company recently began trading on the TSX Venture Exchange (TSX-V) and delisted from the Canadian Securities Exchange (CSE).

"Since its inception, Sitka's goal was to curate a portfolio of highly prospective mineral properties that would provide diversification across key target minerals and mining-friendly jurisdictions", said Cor Coe, director and chief executive officer of Sitka. "Having accomplished that, Sitka spent the past several years systematically advancing these properties through varying stages of exploration. The results of these efforts have led to multiple discoveries and milestones, the most recent being the advancement of RC gold from a discovery hole to an initial mineral resource estimate of 1.34 million ounces of gold within just 12 months. With our main focus on growing that resource towards critical mass while exploring the several additional drill-ready targets at RC gold ripe for discovery, we are also excited to continue our exploration efforts at Alpha gold where we have discovered a large Carlin-type gold system that has the potential to host a significant gold resource similar to other deposits along the Cortez trend where over 50 million ounces of gold has been discovered to date. With drill permits now in hand for Coppermine River and Burro Creek, along with a treasury of approximately $7.5-million, Sitka is well positioned to further unlock the potential within its mineral portfolio and create additional shareholder value."

RC, Yukon

The company is currently conducting a winter diamond drilling program at its year-round road-accessible RC gold project in Yukon as part of a 15,000-metre diamond drilling program planned for 2024. Current drilling is focused on stepping out from hole 47 that was drilled in 2023 south of the current Blackjack gold deposit (900,000 ounces of gold at a grade of 0.83 gram per tonne; see news release dated Jan. 19, 2023). Hole 47 contained the best gold mineralized intersection to date on the property, returning 219 m of 1.34 g/t gold including 124.8 m of 2.01 g/t gold and 55 m of 3.11 g/t gold. Drilling in 2024 will continue to focus on expanding the recently discovered Blackjack and Eiger gold deposits (with Eiger hosting 440,000 ounces of gold at a grade of 0.50 g/t, see news release dated Jan. 19, 2023) that are approximately 1.5 kilometres apart. Drilling will also be targeted to expand the Saddle zone, located midway between the Blackjack and Eiger deposits, where the largest and strongest gold-in-soil anomaly on the property is located along with other prospective areas within the 386-square-kilometre contiguous property that hosts nine known intrusions that are all known to be gold-bearing from previous work.

The project is located a two-hour drive east of Dawson City and is accessed via the Klondike Highway and a network of industrial roads that service placer mines in the area. The RC gold property is located within the Tombstone gold belt (TGB) which is host to two producing mines, Kinross's Fort Knox mine in Alaska and Victoria Gold's Eagle mine in Yukon located approximately 50 kilometres east of RC. The TGB has produced several significant new gold discoveries in recent exploration including the Blackjack and Eiger deposits at Sitka's RC gold project, Snowline Gold's Valley gold deposit discovery, Banyan Gold's Aurmac deposit discovery and Victoria Gold's Raven deposit discovery.

Alpha, Nevada

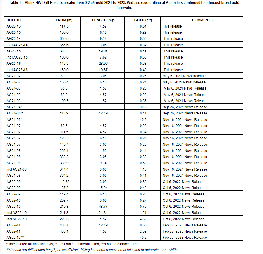
The Alpha gold property lies 40 km south-southeast of Nevada Gold Mines' Cortez complex, including the Pipeline, Cortez Hills and Goldrush Tier 1 gold deposits and is located at the southeast end of the Cortez trend. Four holes totalling 1,027.3 m were drilled in the 2023 program at Alpha. The 2023 drilling and previous drilling produced broad gold intervals with abundant Carlin pathfinder elements in strong Carlin-type alteration in all drill holes.

The 2023 drilling and previous widely spaced drilling demonstrate that gold mineralization appears continuous along the 2.5 km segment of the Alpha anticline with encouraging evidence of higher-grade zones. An additional 4.5 km segment of the Alpha anticline continuing south-southeast to Frazier Creek remains untested by drilling. Four initial surface rock chip samples at Frazier Creek returned up to 0.775 g/t gold, greatly surpassing all surface gold from the Alpha NW area highlighting the potential of this area. Drilling and geologic modelling continues to support a large Carlin-type gold system with extremely prospective untested targets and excellent potential for discovery of a high-grade core zone.

The 2023 drilling at Alpha greatly advanced the definition of structural controls to mineralization along the Alpha anticline and highlighted prime areas for targeting the deeper increasingly prospective Wenban 5 correlative host. Sitka has completed 5,143.5 m of drilling in 15 holes since 2021 on the northwest end of the seven km Alpha anticline. The Alpha anticline lies in a down-dropped area east of a lower plate window as Goldrush does. All drilling at the Alpha project has occurred in the northwest portion of the project, except AG20-01. Drilling near the Alpha anticline axis has yielded significant gold intercepts, so far testing only the shallow Horse Canyon host stratigraphy. The Horse Canyon is the uppermost of two important carbonate rock units that are host to gold deposits in the Cortez trend, the deeper carbonate rock unit is the Wenban 5.

Higher gold grades up to 4.62 g/t in hole AG22-10 (see news release of Oct. 6, 2022) close to steep dike-filled structures along Alpha anticline support an interpretation that main-stage gold deposition relates to host rock intersecting the anticline hinge and to cross-structures along it. This important relationship and association with higher grades in drilling to date at the project provides many emerging structural/stratigraphic targets in the Horse Canyon Fm and the untested Wenban 5 equivalent host rocks. The Wenban 5 is the equivalent of the horizon that hosts most of the world-class Goldrush orebody.

Coppermine River, Nunavut

The company is pleased to announce that Arctic Copper Corp. (ACC), a wholly owned subsidiary of Sitka Gold, has received a land use permit and a water permit to allow diamond drilling on the company's Coppermine River project.

Arctic Copper currently holds approximately 12,000 hectares in two separate claim blocks in the Coppermine River district of Nunavut. The Copper Leaf showing, a new discovery made in 2015 by Arctic Copper personnel, is located approximately 60 km southwest of Kugluktuk and has never been tested by drilling.

The Copper Leaf showing consists of strong massive and disseminated sediment-hosted copper sulphide mineralization in the Husky Creek sandstone formation. The mineralization appears to lie proximal to a major gabbro dike that trends north-south for more than 12 km. Grab samples from the Copper Leaf showing returned values of up to 13.45 per cent copper and up to 65 g/t silver in sandstone interpreted to be brought to surface by frost heave action. A single-line gravity survey was conducted over the Copper Leaf showing in 2015 and revealed a strong gravity anomaly 90 m wide located proximal to the gabbro dike. An expanded gravity survey conducted in 2019 suggested significant strike potential along the east flank of the gabbro dike for more than 400 m.

The mineral occurrences at Copper Leaf display similarities to other major world-renowned sediment-hosted copper deposits such as the Kamoa-Kakula copper deposits in the Democratic Republic of the Congo (DRC). The similar stratiform style, similar age, and similar depositional and tectonic environment indicate the potential for large high-grade copper deposits to occur at Copper Leaf. The current published mineral resource at Kamoa-Kikula is 1.3 billion tonnes grading 2.70 per cent copper yielding 77.4 billion pounds of contained copper. Other analogues to Copper Leaf include the Keweenaw Copper deposits in the United States (3.5 billion pounds of copper indicated resource).

Burro Creek, Arizona

The Burro Creek gold and silver project is located 105 km by road southeast of Kingman, Ariz., and is accessed via a 1.6 km dirt road west off Highway 93. The project covers an area of approximately 287 hectares and consists of four centrally located patented mineral claims and an additional 35 lode claims. The property covers a low-sulphidation epithermal vein system that has been traced for over 1.7 km and exhibits widths of up to 45 metres.

The company has received its drill permit to further explore its Burro Creek property where a historical gold and silver resource (indicated and inferred) has been identified (see news releases Nov. 12, 2019) within the Burro vein which is a low-sulphidation epithermal gold-silver vein. Previous drilling by Sitka Gold confirmed the mineralization from the historical resource continues to the southern boundary of the patented mining claims. The recently received drill permit now enables drill testing south of the historical resource beyond the patented mining claims. Previous work including surface geochemistry, prospecting and geological mapping indicates the Burro vein continues for at least an additional 1.5 km to the south.

The historical mineral resource estimate of the Burro deposit is based on 87 reverse circulation (RC) and diamond drill holes and nine sampled adits totalling 6,672 m and 2,682 assays. Mineralization was constrained within a 3-D geological solid created using Gemcom software. Practices consistent with Canadian Institute of Mining, Metallurgy and Petroleum (2005) were applied to the generation of the historical mineral resource estimate and the parameters of the modelling are fully described in the National Instrument 43-101 report referenced below.

Previous reverse circulation, diamond drilling and underground development conducted on the property outlined a historical indicated resource of 2,331,871 tonnes grading 1.01 g/t Au and 36.77 g/t Ag (yielding 122,491 ounces at a 1.63 g/t Au equivalent) and a historical inferred resource of 2,247,069 tonnes grading 0.60 g/t Au and 30.95 g/t Ag (yielding 81,304 ounces at a 1.13 g/t Au equivalent), both using a cut-off grade of 0.50 g/t Au. The historical results reported in the NI 43-101 technical report are considered by management to be reliable and relevant, though not conforming to current NI 43-101 standards. The company is not treating the historical estimate as current mineral resources or mineral reserves.

The property was fully permitted to commence production in 1988 but the production decision was deferred due to a decline in the price of gold and silver. At that time, the intent was to place the Burro gold and silver deposit into production and continue to expand the resource through exploration funded by the ensuing profits.

Recent exploration by Sitka in 2020 included 10 drill holes to define the on-strike continuity of the Burro vein within the bounds of the patented claims. The results confirmed that the vein extends to the southern limits of the patented claims where mobile metal ion (MMI) geochemical surveys conducted in 2013 indicate that the Burro vein likely continues southward beneath a thin cover of volcanic rocks. Hole 19-56 intersected 1.14 g/t gold and 42.94 g/t silver over a core length of 41.08 m. Drilling is now permitted to test for the extension of the Burro vein which could add significant potential to the property.

OGI property

Sitka continues to explore the OGI property for its Sedex lead-zinc-silver potential as well as for intrusion-related gold system occurrences. The OGI property is strategically located at the western end of the Tombstone gold belt immediately north of the Brewery Creek deposit, recently acquired by Victoria Gold, and 20 km west of the Mike Lake project, recently acquired by Prospector Resources. Previous exploration has included soil geochemical surveys, airborne magnetics (done by the Geological Survey of Canada), gravity geophysics, stream sediment sampling, geological mapping and a small rotary air blast (RAB) drilling program. Previous soil surveys have produced areas of interest for follow-up exploration.

About the flagship RC gold project

The RC gold project consists of a 386-square-kilometre contiguous district-scale land package located in the heart of Yukon's Tombstone gold belt. The project is located approximately 100 kilometres east of Dawson City with a 5,000-foot paved runway and is accessed via a secondary gravel road from the Klondike Highway which is usable year-round and is an approximate two-hour drive from Dawson. It is the largest consolidated land package strategically positioned midway between Victoria Gold's Eagle gold mine -- Yukon's newest gold mine which reached commercial production in the summer of 2020 -- and Victoria Gold's former-producing Brewery Creek gold mine.

On Jan.19, 2023, Sitka Gold announced an initial mineral resource estimate prepared in accordance with National Instrument 43-101 guidelines for the RC gold property of 1.34 million ounces of gold. The road-accessible, pit-constrained mineral resource is classified as inferred and is contained in two near-/on-surface zones: the Blackjack and Eiger deposits. Both of these deposits are at/near surface, are potentially open-pit minable and amenable to heap leaching, with initial bottle roll tests indicating that the gold is not refractory and has high gold recoveries of up to 94 per cent with minimal NaCN (sodium cyanide) consumption (see news release July 13, 2022). The mineral resource estimate is presented in the attached table at a base case cut-off grade of 0.25 g/t Au.

To date, 54 diamond drill holes have been drilled into this system for a total of approximately 18,877 metres including 16 holes totalling 6,515 metres in 2023 focused on expanding the initial resource. The resource expansion drilling in 2023 produced results of up to 219 m of 1.34 g/t gold including 124.8 m of 2.01 g/t gold and 55 m of 3.11 g/t gold in drill hole DDRCCC-23-047 at Blackjack (see news release dated Sept. 26, 2023).

RC gold deposit model

Exploration on the property has mainly focused on identifying an intrusion-related gold system (IRGS). The property is part of the Tombstone gold belt which is the prominent host to IRGS deposits within the Tintina gold province in Yukon and Alaska. Notable deposits from the belt include: Fort Knox mine in Alaska with current proven and probable reserves of 230 million tonnes at 0.3 g/t Au (2,471,000 ounces); Eagle gold mine with current measured and indicated resources of 233 million tonnes at a grade of 0.57 g/t Au at the Eagle main zone (4,303,000 ounces); the Brewery Creek deposit with current indicated mineral resource of 22.2 million tonnes at a gold grade of 1.11 g/t (789,000); the Florin gold deposit, located adjacent to Sitka's RC gold project, with a current inferred mineral resource of 170.99 million tonnes grading 0.45 g/t (2.47 million ounces); and the AurMac project with an inferred mineral resource of 347.49 million tonnes grading 0.63 gram per tonne gold (seven million ounces).

Coming events

Sitka Gold will be attending and/or presenting at the following events*:

  • Swiss Mining Institute, Zurich, Switzerland: March 20 to 21, 2024;
  • 121 Mining Investment, London, England: May 16 to 17, 2024;
  • Takestock Investor Forum, Stampede Event, Calgary, Alta.: July 3, 2024.

*All events are subject to change.

About Sitka Gold Corp.

Sitka Gold is a well-financed mineral exploration company headquartered in Canada with approximately $7.5-million in the treasury. The company is managed by a team of experienced industry professionals and is focused on exploring for economically viable mineral deposits with its primary emphasis on gold, silver and copper mineral properties of merit. Sitka is currently exploring its flagship RC gold project within the Tombstone gold belt in Yukon. The company is advancing the Alpha gold project in Nevada and has drill permits for its Burro Creek gold and silver project in Arizona and the Coppermine River project in Nunavut.

The scientific and technical content of this news release has been reviewed and approved by Mr. Coe, PGeo, director and CEO of the company, and a qualified person (QP) as defined by National Instrument 43-101.

We seek Safe Harbor.

© 2026 Canjex Publishing Ltd. All rights reserved.