21:32:27 EST Sat 07 Feb 2026
Enter Symbol
or Name
USA
CA



Talisker Resources Ltd (2)
Symbol TSK
Shares Issued 88,122,090
Close 2024-01-11 C$ 0.31
Market Cap C$ 27,317,848
Recent Sedar+ Documents

Talisker drills 2.6 m of 40.82 g/t Au at Bralorne

2024-01-11 10:38 ET - News Release

Mr. Terry Harbort reports

TALISKER ANNOUNCES ADDITIONAL HIGH-GRADE DRILL RESULTS FROM THE BRALORNE GOLD PROJECT RESOURCE CONVERSION PROGRAM

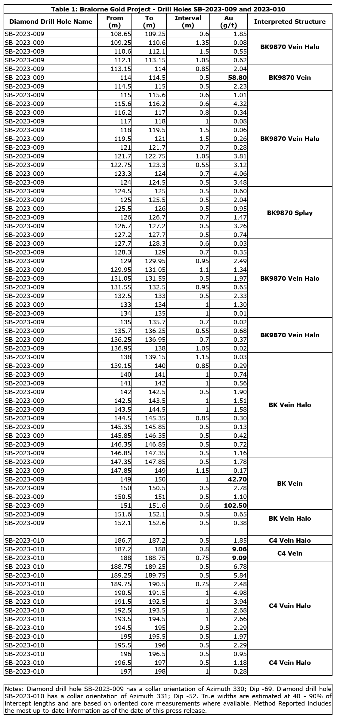
Talisker Resources Ltd. has released additional high-grade drill results highlighted by 40.82 grams per tonne gold over 2.60 metres within a broader interval of 8.54 grams per tonne gold over 13.45 metres at its 100-per-cent-owned flagship Bralorne gold project.

Key Points:

  • Talisker initiated resource conversion drilling on October 17, 2023 with 15,000 metres of planned drilling.
  • Hole SB-2023-009 intersected 40.82 g/t Au over 2.60 metres within a broader interval of 8.54 g/t Au over 13.45 metres on the BK Vein.
  • Hole SB-2023-009 also intersected 11.62 g/t Au over 3.05 metres within a broader interval of 2.46 g/t Au over 25.35 metres on the BK9870.
  • The BK and BK9870 structures overlap, creating a larger mineralized interval of 4.05 g/t Au over 43.95 metres.
  • Hole SB-2023-010 intersected 8.51 g/t Au over 2.05 metres within a broader interval of 3.72 g/t over 11.30 metres on the C4 Vein.
  • The resource conversion drill program is focused on increasing confidence in the Alhambra and BK Vein.

Terry Harbort, President and CEO of Talisker, stated, "We are very pleased to start the new year with such strong results, returning both high-grade and extensive vein intercepts. Hole SB-2023-009 targeted stopes planned for extraction in 2025 and shows robust along-strike continuity of the BK structure. We are expecting a consistent flow of assay results throughout the next 5-6 months from our ongoing 2023-2024 resource conversion drill program."

SB-2023-009 Description

  • All assays have been received
  • Located in King block and hosted in diorite intrusive
  • BK9870 vein intersected from 114.20 - 115.45 m
  • BK9870 vein splay intersected from 124.50 - 127.20 m
  • BK Vein intersected from 147.85 - 151.60 m

SB-2023-010 Description

  • All assays have been received
  • Located in King block and hosted in diorite intrusive
  • C4 Vein intersected from 187.20 - 188.75 m

Major vein structures intersected are considered classic Bralorne crack-seal quartz-carbonate veins with densely banded sulphide septae. Crack-seal septae host fine-grained arsenopyrite and pyrite mineralization. Alteration halos consist of strong silica-sericiteplus or minusmariposite alteration halos.

All reported drill assay results are available on the Company's website.

Qualified Person

The technical information contained in this news release relating to the drill results at the Bralorne Gold Project has been approved by Leonardo de Souza (BSc, AusIMM (CP) Membership 224827), Talisker's Vice President, Exploration and Resource Development, who is a "qualified person" within the meaning of National Instrument 43-101, Standards of Disclosure for Mineral Projects.

About Talisker Resources Ltd.

Talisker (taliskerresources.com) is a junior resource company involved in the exploration and development of gold projects in British Columbia, Canada. Talisker's flagship asset is the high-grade, fully permitted Bralorne Gold Project where the Company is currently transitioning into underground production at the Mustang Mine. Talisker projects also include the Ladner Gold Project, an advanced stage project with significant exploration potential from an historical high-grade producing gold mine and the Spences Bridge Project where the Company holds ~85% of the emerging Spences Bridge Gold Belt, and several other early-stage Greenfields projects.

Sample Preparation and QAQC

Drill core at the Bralorne Gold Project is drilled in HQ to NQ size ranges (63.5mm and 47.6mm, respectively). Drill core samples are a minimum of 50 cm and a maximum of 160 cm long along the core axis. Samples are focused on an interval of interest, such as a vein or zone of mineralization. Shoulder samples bracket the interval of interest such that a total sampled core length of not less than 3m both above and below the interval of interest must be assigned. Sample QAQC measures of unmarked certified reference materials (CRMs), blanks, and duplicates are inserted into the sample sequence and makeup 9% of the samples submitted to the lab for holes reported in this release. ALS Global performs sample preparation and analyses in North Vancouver, British Columbia, Canada and SGS Canada in Burnaby, British Columbia, Canada. Drill core sample preparation includes drying in an oven at a maximum temperature of 60degreeC, fine crushing of the sample to at least 70% passing less than 2 mm, sample splitting using a riffle splitter, and pulverizing a 250 g split to at least 85% passing 75 microns (ALS code PREP-31 / SGS code PRP89). Gold in diamond drill core is analyzed by fire assay and atomic absorption spectroscopy (AAS) of a 50g sample (ALS code Au-AA26 / SGS code GO_FAA50V10), while multi-element chemistry is analyzed by 4- Acid digestion of a 0.25 g sample split with detection by inductively coupled plasma mass spectrometer (ICP-MS) for 48 elements (Ag, Al, As, Ba, Be, Bi, Ca, Cd, Ce, Co, Cr, Cs, Cu, Fe, Ga, Ge, Hf, In, K, La, Li, Mg, Mn, Mo, Na, Nb, Ni, P, Pb, Rb, Re, S, Sb, Sc, Se, Sn, Sr, Ta, Te, Th, Ti, Tl, U, V, W, Y, Zn, Zr). Gold assay technique (ALS code Au-AA26 / SGS code FAA50V10) has an upper detection limit of 100 ppm. Any sample that produces an over-limit gold value via the gold assay technique is sent for gravimetric finish (ALS method Au-GRA22 / SGS method GO_FAG50V) which has an upper detection limit of 1,000 ppm Au. Samples where visible gold was observed are sent directly to screen metallics analysis and all samples that fire assay above 1 ppm Au are re-analysed with method (ALS code Au-SCR24 / SGS code - 6 - GO_FAS50M) which employs a 1kg pulp screened to 100 microns with assay of the entire oversize fraction and duplicate 50g assays on the undersize fraction. Where possible all samples initially sent to screen metallics processing will also be re-run through the fire assay with gravimetric finish provided there is enough material left for further processing

We seek Safe Harbor.

© 2026 Canjex Publishing Ltd. All rights reserved.